吲哚

浏览

公式 符号  又称苯并吡咯。为吡咯与苯并联的化合物,分子式 C8H7N。有两种并合方式,分别称为吲哚和异吲哚。吲哚及其同系物和衍生物广泛存在于自然界中。例如,吲哚最初是由靛蓝降解而得;吲哚及其同系物也存在于煤焦油内;精油(如茉莉精油等)中也含有吲哚;粪便中含有3-甲基吲哚;许多瓮染料是吲哚的衍生物;动物的一个必需氨基酸色氨酸就是吲哚的衍生物体内的许多吲哚衍生物是由它而来的;某些生理活性很强的天然物质,如生物碱、植物生长素等,都是吲哚的衍生物。

吲哚为片状结晶;熔点52.5°C,沸点254°C,相对密度1.22;具有强烈的粪臭味,高度稀释的溶液,可以作为香料使用。吲哚是一种亚胺,具有弱碱性;杂环的双键一般不发生加成反应;在强酸的作用下,发生二聚合和三聚合作用(见聚合反应);在特殊的条件下,能进行芳香亲电取代反应,3位上的氢优先被取代,如用磺酰氯反应,可以得到3-氯吲哚。3位上还可以发生多种的反应,如形成格利雅试剂,与醛缩合(见缩合反应),以及发生曼尼希反应等。

吲哚及其同系物可以用多种方法合成,其中以费歇尔合成法最具有普遍性。它是用酮或醛的芳香腙在酸性条件下作用,发生类似联苯胺的重排反应,而产生吲哚:

公式 符号

在这一反应中,所用的酮必须有一个一级碳原子与羰基相连,才能得到吲哚。假若是二级碳原子,产物就停留在吲哚的一种互变异构体(见互变异构)吲哚宁上:

公式 符号

用不同的酮或醛和取代的芳肼,就可得到苯环上或杂环上取代的吲哚。

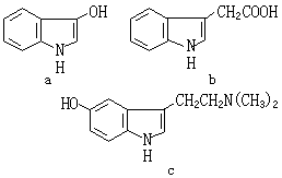
3-羟基吲哚(见结构式a)是制造靛蓝的原料,是最早得到的一个吲哚衍生物。3-吲哚乙酸(b)是一个重要的植物生长素。中药成药六神丸中的蟾酥,是含有5-羟基吲哚的衍生物 (c)。许多生物碱中含有吲哚的环系。常用的降压药利血平是一个复杂的吲哚衍生物。毒性极强的马钱子碱和番木鳖碱结构非常复杂,也是吲哚的衍生物,它们可以作为药用,但须严格控制用量。

公式 符号

参考文章