[拼音]:Wagena-Mi’erweiyin chongpai fanying
[外文]:Wagner-Meerwein rearrangement
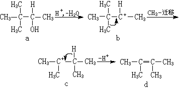
一类常见的缺电子重排反应。1899年由俄国化学家E.瓦格纳在研究莰醇转变为莰烯时发现。1914年起,德国化学家H.米尔魏因扩大研究范围,发现这种重排反应具有普遍性。当反应物分子在反应过程中生成一个正碳离子时,其邻位碳上的烃基或氢带着键合电子对断裂下来并迁移到这个正碳上,从而生成一个新的更稳定的正碳离子,然后发生进一步变化而得重排产物。这种过程也有协同进行的(见协同反应),例如频哪基醇(a)在酸作用下失水生成四甲基乙烯(d)的反应,频哪基醇先生成一个正碳离子(b),然后邻位碳上的甲基迁移到b上,从而生成一个新的正碳离子(c),最后得四甲基乙烯。
频哪基醇具有频哪酮碳架,四甲基乙烯具有频哪醇碳架,所以这类重排反应也称反频哪酮重排反应。这个重排中甲基迁移的动力在于三级正碳离子 (c)比二级正碳离子(b)稳定。通常,三级正碳离子和二级正碳离子能量相差约10~15千卡/摩尔。其反应式如下:
发生在小环或桥环化合物中的瓦格纳-米尔魏因重排反应,张力缓解也是基团迁移的动力,例如α-蒎烯与氯化氢生成2-氯莰的反应:
在其他一些涉及生成正碳离子的反应中,例如,卤代烷与银离子的作用,醇的对甲苯磺酸酯的分解,以及脂肪族一级胺的重氮化反应等,都有可能发生瓦格纳-米尔魏因重排反应。