¹âÆ×ÒÇÆ÷

ÓÃÒÔ»ñÈ¡°´²¨³¤£¨ÆµÂÊ»ò²¨Êý£©ÅÅÁеÄÔ­×Ó»ò·Ö×Ó¹âÆ×µÄÒÇÆ÷¡£¹âÆ×ѧÒòΪÑо¿µÄ·¶Î§Éæ¼°Ô­×ӺͷÖ×ӽṹ¶øÔÚ¹âѧÖÐÐγÉÒ»¸ö¶ÀÌØµÄ·ÖÖ§¡£¹âÆ×ÒÇÆ÷Ò²Òò´Ë¶øÓëÒ»°ãÒÔ³ÉÏñΪĿµÄ¹âѧÒÇÆ÷ÏàÇø±ð¡£¹âѧºÍ¹âѧÒÇÆ÷ÒÑÓм¸Ç§ÄêµÄÀúÊ·£¬µ«ÊǹâÆ×ѧºÍ¹âÆ×ÒÇÆ÷µÄÀúÊ·È´²»³¤£¬Ö»ÄÜ×·Ëݵ½1666ÄêI.Å£¶ÙÔڿɼû¹âÇøµÄ·Ö¹âÊÔÑé¡£F.W.ºÕЪ¶úÔÚ1800ÄêºÍJ.W.ÀïÌØÔÚ1801Äê·Ö±ð½«¹âÆ×·¶Î§À©Õ¹µ½ºìÍâºÍ×ÏÍ⡣ţ¶ÙÊÇÓÃС¿×»ñµÃ¹âÆ×µÄ£¬1802ÄêW.H.ä×À­Ë¹¶Ù¸ÄÓÃÏÁ·ì£¬·¢ÏÖÌ«Ñô¹âÆ×ÖÐÓÐÐí¶à°µÏߣ»Ö±µ½1814ÄêJ.von·òÀźͷѲÅÈÏʶµ½ÕâЩ°µÏßÓй̶¨µÄλÖ㬲¢ÓÃ×Öĸ±ê×¢£¬ËæºóËû»¹ÓùâÕ¤²â³öËüÃǵIJ¨³¤£¬ºóÊÀ¾Í³ÆÖ®Îª·òÀÅºÍ·ÑÆ×Ïß¡£1859ÄêG.R.»ù¶û»ô·ò²ûÊöÁ˱íÃ÷ÎïÖÊÌØÕ÷µÄ¹âÆ×¶¨ÂÉ£¬½âÊÍÁË·òÀÅºÍ·ÑÆ×ÏßÊÇÌ«Ñô´óÆøÖÐÎïÖʳÊÏÖ³öµÄÆ×Ïß×ÔÊ´ÏÖÏó£¬Òò¶øÖ¸³ö£¬ÈçÒª¶ÔÌ«Ñô´óÆø½øÐл¯Ñ§·ÖÎö£¬Ö»ÏûÕÒµ½ÄÇЩÄÜÔÚ»ðÑæÖз¢Éä³öÓë°µÏß²¨³¤ÏàͬµÄÃ÷ÏßµÄijЩÎïÖʾÍÐÐÁË¡£ÓÚÊÇËûºÍR.W.E.±¾Éú¿¼²ìÁË´óÁ¿µÄ·òÀÅºÍ·ÑÆ×Ïߣ¬ÈÏʶµ½Ì«Ñô´óÆøÖкܶàÖÖÔªËØÓëµØÇòÉÏÏàͬ¡£Õâ¾ÍÆÆ³ýÁ˶ÔÌìÌå³É·ÖµÄÉñÃØ¸Ð¡£ÁíÍ⣬´Ó¹âÆ×¿¼²ìÖÐÈËÃÇ»¹¿ÉÍÆÖªÌìÌåµÄζȡ¢ËüµÄ·¢¹âÐÔÖÊ¡¢ÔËÐÐËٶȵȣ¬ÕâЩ³É¹û²»½öÊǶԿÆÑ§Ñо¿·½·¨µÄ¹±Ï×£¬¶øÇÒ¶ÔÓÚΨÎïÖ÷ÒåÓîÖæ¹ÛÆðµ½ÖØ´óµÄÖ§³Ö×÷Óá£

¹âÆ×ÒÇÆ÷ÒÔÆä¾«È·¡¢Ãô½Ý¡¢ÐèÓÃÑùÆ·Á¿ÉÙµÈÌØµã¶øµÃµ½Ñ¸ËÙ·¢Õ¹£¬²¢¹ã·ºÓ¦ÓÃÓÚ»ù´¡ÀíÂÛ¡¢¹¤Å©Òµ¡¢Ò½Ò©µÈÖÚ¶à·½Ãæ£¬ÊÇÐí¶àʵÑéÊұر¸µÄÒÇÆ÷¡£ÈËÔìÎÀÐǾ­³£Ð¯´ø¹âÆ×ÒÇÆ÷ÉÏÌ죬²»µ«¿¼²ìÓîÖæ£¬ÆäÖеĶà¹âÆ×ɨÃèÆ÷Ò²ÊÇ¿±Ì½µØÇò×ÊÔ´µÄ·Ç³£ÓÐЧµÄ×°Ö㨼û¹âѧң¸Ð£©¡£

»ù±¾½á¹¹ºÍÐÔÄÜ

»ù±¾ÐÎʽÈçͼ1Ëùʾ£ºÏÁ·ìSλÓÚ×¼Ö±Îï¾µO1µÄ½¹ÃæÉÏ£¬ÓÚÊÇÓÐÆ½ÐйâÊøÉäÖÁɫɢԪ¼þ(ÕâÀïÊÇÀâ¾µ)£¬¹â¾Í±»·Ö½âΪ¹âÆ×²¢×îºó¾Û½¹ÓÚ³ÉÏñ¾µO2µÄ½¹ÃæFÉÏ¡£ËùÒÔ¹âÆ×ÒÇÆ÷Ò²ÓÐÆä³ÉÏñÎÊÌ⣬¾ÍÊÇÒª¾¡Á¿¼õСÏñ²î£¬Ê¹¹âÆ×ÏßÇåÎú¡£ÌرðÖØÒªµÄÊÇҪʹÏàÁÚ²¨³¤µÄ¹âÆ×Ïß·Ö±æÇå³þ¡£ÕâÓëÒ»°ã¹âѧÒÇÆ÷ÖÐÒª·Ö±æ¿Õ¼äÏàÁÚÎïµãµÄÇé¿öÏàËÆ£¬Ëù²»Í¬µÄÊÇÕâÀïÒª·Ö±æµÄÊDz»Í¬µÄ²¨³¤¡£ÎªÁËÃ÷È·Æð¼û£¬³ÆÕâÀïµÄ·Ö±æ±¾ÁìΪɫ·Ö±æ±¾Áì»ò¹âÆ×·Ö±æ±¾Áì¡£ºÍÑо¿ÔÚ¿Õ¼ä·Ö±æÎÊÌâÒ»Ñù£¬³£²ÉÓÃÈðÀûÅоݣ¬¾ÍÊǵ±Á½¸öµÈÇ¿¶ÈµÄÏàÁÚ²¨³¤µÄ¹â¸÷×ÔÐÎ³ÉÆäÏÁ·ìÏñʱ£¬Èç¹ûÒ»¸öµÄÑÜÉ伫´óÕýºÃÂäÔÚÁíÒ»¸öµÄÑÜÉ伫СÉÏ£¬ÔòÈÏΪËüÃÇÊDZ»·Ö±æÁË¡£ÕâÑùµÄ×ÛºÏÇúÏß»áÓÐÒ»¸öÖмäµÄ¼«Ð¡£¬ÆäÇ¿¶ÈԼΪ¼«´ó·åÖµµÄ80£¥¡£ÁíÍâÓÐÒ»¸ö±È½Ï¿íµÄÅоݣ¬³ÆÎªË¹ÅÁÂÞÅоݣ¬Ëü½öÒªÇóµ±ÖÐÓÐÒ»¸öÏà¶Ô¼«Ð¡¾ÍÐУ¬¶øÇÒÕâ¸öÅоݻ¹ÊÊÓÃÓÚÁ½Æ×ÏßÇ¿¶È²»ÏàµÈµÄÇé¿ö¡£É«·Ö±æ±¾ÁìµÄ¶¨ÒåÊÇʽÖЦËÊÇËù¿¼²ìµÄÇøÓòµÄƽ¾ù²¨³¤£¬¦Ä¦ËÔòΪ±»·Ö±æÇå³þµÄÁ½²¨³¤Ö®²î£¬ˆùÊDz¨Êý¡£

ͼ1

¹âÆ×ÒÇÆ÷µÄÏÁ·ì¼ÈÊÇΪÁËÈ¡µÃÆ×Ïߣ¬ÄÇÃ´ËÆºõÓúÏÁ¶Ô·Ö±æÓúÓÐÀû¡£µ«ÊdzÉÏñÊÇÑÜÉä¹ý³Ì£¬¼´Ê¹ÏÁ·ìÊÇÎÞÏÞÏÁÕ­µÄ£¬ËüµÄÑÜÉäÏñÈ´²»ÊÇÎÞÏÞÏÁÕ­µÄ£¬¹âÄÜ·Ö²¼ÔڽϴóµÄ·¶Î§ÄÚ¡£Èç¹ûÉÔÉÔ·Å¿íÏÁ·ì£¬¹âÄܵķֲ¼»áÖð½¥¼¯ÖÐÓÚÆä¼¸ºÎÏñµÄ·¶Î§ÄÚ£¬¶øÑÜÉäÏñµÄ°ëÖµ¿í¶ÈÔö³¤½ÏÂý¡£ËùÒÔÕâʱ·Å¿íЩÏÁ·ì¶Ô·Ö±æ²¢ÎÞ¶à´ó²»Àû£¬È´ÄÜʹ¹âÄܽÏΪ¼¯ÖС£µ±ÏÁ·ìµÄ¼¸ºÎÏñ¿í¶ÈµÈÓÚÎÞÏÞÕ­ÏÁ·ìµÄÑÜÉäÏñÁ½¼«Ð¡¼äµÄ¾àÀëÖ®°ëʱ£¬ÏÁ·ìµÄÑÜÉäÏñ½üÓÚ¼¸ºÎÏñ£¬ÔÙ·Å¿í¾Í²»ÔÙ¶Ô¹âÄÜ·Ö²¼ÓÐÀû£¬È´¶Ô·Ö±æÓк¦ÁË¡£ËùÒÔʹÓÃÒÇÆ÷ʱÒÔÈ¡ÕâÒ»ÏÁ·ì¿í¶ÈΪÒË¡£ËüµÄÖµµÈÓÚ£¬ÆäÖÐfΪ׼ֱÎï¾µ½¹¾à£¬DΪ¹âÊø¿í¶È¡£ºóÃæÕâ¸ö·ÖÊýÊÇÒÇÆ÷µÄ½á¹¹Ëù¾ö¶¨µÄ£»µ«¦Ë ÊDz¨³¤£¬¶ÔÓÚºìÍⲨ¶Î£¬ÏÁ·ìÓ¦ÉÔ¿í£¬ÒòΪºìÍâ¹âÔ´ÍùÍù½ÏÈõ£¬ÕýºÃ¿ÉÒÔ²¹¾È£¬ÕâÊÇÒ»ÖÖÌìÈ»µÄÇɺϡ£ÓÐЩºìÍâÎüÊÕ¹âÆ×ÒÇÆ÷ΪÁ˱£Ö¤¸÷ÇøÓòÓнüÓÚͬµÈÇ¿¶ÈµÄÁ¬Ðø¹âÆ×£¬Äܹ»×Ô¶¯°´²¨³¤µ÷½ÚÆäÏÁ·ì¿í¶È¡£

·ÖÀà

¹âÆ×ÒÇÆ÷ÓжàÖÖ·ÖÀà·½·¨¡£½Ï³£¼ûµÄÓУº°´·øÉäµÄ²¨¶Î·ÖΪ¿É¼û¡¢×ÏÍâ¡¢ºìÍâµÈ¹âÆ×ÒÇÆ÷£»°´ËùÓÃɫɢ²¿¼þÔò·ÖΪÀâ¾µ¡¢¹âÕ¤ºÍ¸ÉÉæ¹âÆ×ÒÇÆ÷¡£×ÅÑÛÓÚ¹Û²â·½ÃæÔò´«Í³·ÖΪ·Ö¹â¾µ¡¢·Ö¹â¼ÆºÍÉãÆ×ÒÇ¡£ºóÕßÖ¸ÓÃÕÕÏà·½·¨¼Ç¼¹âÆ×£¬ÊÇÃ÷È·µÄ¡£µ«·Ö¹â¾µÔ­Ö¸ÓÃÑ۹۲죬¶ø·Ö¹â¼ÆÔòÖ¸¿ÉÒÔ½øÐвâÁ¿£¨²Î¼ûͼ1£¬ÔÚFºóÃæ¼ÓһĿ¾µÔòºÍO2×é³ÉÍûÔ¶¾µ£¬ÀûÓÃÆäÖвæË¿¿ÉÈ·¶¨Ëù¹Û²ìÆ×ÏߵIJ¨³¤£©¡£²»¹ýÕâÖÖÇø·Öʵ¼ÊÉϺÜÄÑ£¬ËùÒÔ·Ö¹â¼ÆÒ»´ÊÔÚÓ¢ÎÄÖÐÍùÍù¾ÍÖ¸¹âÆ×ÒÇÆ÷¡£´ËÍ⣬ÏÖ´úµÄ¹âÆ×ÒÇÆ÷ÖУ¬Ì½²âÆ÷¶à²ÉÓùâµçºÍÈȵçЧӦµÄÆ÷¼þ£¬ÈËÑÛÒÑÍ˾Ӹ¨ÖúµÄµØÎ»¡£¹âÆ×ÒÇÆ÷µÄÁíÒ»ÐÎʽÊǵ¥É«Æ÷£¬ÕâÀïÔÝʱ²»°²×°Ì½²âÆ÷£¬È´ÔÚF´¦°²ÖÃÒ»¸ö³öÉäÏÁ·ì£¬Ö»ÈÃÒ»¶¨¹âÆ×´ø¿íµÄ×¼µ¥É«¹âͨ¹ý¡£¿É¼û£¬µ¥É«Æ÷ÊÇ·Ö¹â¼ÆµÄÒ»ÖÖÌØÊâÐÎʽ¡£Èç¹ûÓÐÈô¸É¸ö³öÉäÏÁ·ì¿ÉÒÔͬʱ»ñµÃ¶àÖÖ×¼µ¥É«¹â£¬Ôò³ÆÎª¶àÉ«Æ÷£¬¹âÁ¿¼Æ¾ÍÊÇÕâÑùµÄÒ»ÖÖÒÇÆ÷£¬ÔÚÈô¸É¸ö³öÉäÏÁ·ìºóÃæ¸÷°²ÖÃÊʵ±µÄ̽²âÆ÷£¬ÅäºÏ¼ÆËã»ú¿ÉѸËÙÇó³öËùÐè½á¹û¡£Ë«µ¥É«Æ÷ÊÇÁ½¸ö´®ÁªµÄµ¥É«Æ÷£¬Ç°Ò»¸öµÄ³öÉäÏÁ·ì³ÉΪºóÒ»¸öµÄÈëÉäÏÁ·ì£¬ÆäÄ¿µÄÊǼõÉÙͨ¹ýÒÇÆ÷µÄÔÓÉ¢¹â¡£ÓÐЩ¹âÆ×ÒÇÆ÷ÒÔÆä¹¤×÷Ô­ÀíËùÒÀ¾ÝµÄÎïÀíÏÖÏóÃüÃû£¬ÀýÈçÀ®Âü¹âÆ×ÒÇÆ÷¡£»¹ÓÐЩÃüÃûÔòָʾÆä¹¤×÷¶ÔÏó£¬ÈçÎö¸Ö¾µ¡£

¹âÆ×ÒÇÆ÷ÖеÄÖ÷Òª²¿¼þ¼´¹âÔ´ºÍ̽²âÆ÷£¨¼û¹âÆ×¹âÔ´¡¢¹â̽²âÆ÷¡¢ÈÈ̽²âÆ÷£©¶¼ÒÑÓÐרÌõ½éÉÜ£¬ÕâÀïÖ»×ÅÖØÓÚɫɢ²¿¼þ¡£

Àâ¾µ¹âÆ×ÒÇÆ÷

ÊÇ×î³£ÓõÄÒÇÆ÷£¬·òÀźͷѺͻù¶û»ô·òµÈ¾ÍÊÇÓÃÒÔ×÷³öËûÃÇÀúÊ·ÐÔ¹±Ï׵ġ£Àâ¾µ×÷Ϊɫɢ²¿¼þ¼ÈÒªÇóÓÐ×ã¹»´óµÄɫɢ£¬ÓÖÒªÇóËüÄܳä·Ö͸¹ýËùÓò¨¶ÎµÄ·øÉä¡£¿É¼ûÇø¶àÓûðʯ²£Á§£»×ÏÍâÇø´Ó½üµ½Ô¶³£ÓÃʯӢ¡¢Ó©Ê¯¡¢·ú»¯ï®µÈ£»ºìÍâÇø´Ó½üµ½Ô¶ÔòÓÃÂÈ»¯ÄÆ¡¢ä廯¼Ø¡¢µâ»¯ï¤µÈ¡£ÓÐЩÒÇÆ÷ΪÁËÄÜÊÊÓÃÓÚ¿íÀ«µÄ²¨¶Î£¬Óü¸¿é²»Í¬²ÄÁϵÄÀâ¾µ½»Ìæ²åÈë¹â·ÖС£

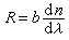
ÀíÂÛÉÏÀâ¾µµÄ·Ö±æ±¾ÁìÊÇ£¬Ê½ÖÐbÊÇÀâ¾µµ×±ß(ͼ1ÖÐÏ·½Ïß¶Î)Ö®³¤£¬ÊÇÀâ¾µ²ÄÁϵÄÕÛÉäÂÊËæ²¨³¤µÄ±äÂÊ¡£Àâ¾µµÄR´óÔ¼¿ÉÒÔ´ïµ½104µÄÊýÁ¿¼¶¡£×¢Òâ·Ö±æ±¾ÁìµÄ¹ØÏµÊ½Öв¢²»°üº¬Àâ¾µµÄ¶¥½Ç£¬¶ø¶¥½ÇÓú´ó£¬ÔòɫɢÓú´ó¡£¿É¼ûÔö´óɫɢ²¢²»ÄÜÌá¸ß·Ö±æ±¾Áì¡£²»¹ý¶¥½ÇÒ»°ãȡΪ60¡ã£¬ÕâÊÇÒòΪ̫´óÔòÔÚµÚ¶þÃæ»á³öÏÖÈ«·´É䣻¶øÇÒÈëÉä½ÇÓú´ó£¬·´ÉäµÄËðʧҲÓú´ó¡£ÓÉÓڷֱ汾ÁìÒÀÀµÓڵױߣ¬Òâζ×ÅÀâ¾µµÄ³ß´çÒª´ó£¬µ«ÓÉÓÚ²ÄÁϵÈÏÞÖÆ£¬ËùÒÔ½â¾öµÄ°ì·¨¾ÍÓÃÈô¸É¿éÀâ¾µÏà´®Áª¡£ÎªÁ˸ø·Ö±æ±¾ÁìÒ»¸öÊý×ֵĸÅÄҪ·Ö±æÄÆ»ÆÏßË«Ïß´óÔ¼ÒªÇó·Ö±æ±¾ÁìΪ103£¬ÓÃÒ»°ã»ðʯ²£Á§×÷Àâ¾µ£¬Æäµ×±ß³¤¶ÈÓÐ1ÀåÃ×¾ÍÐÐÁË¡£

ͼ1µÄ°²ÅÅÖй۲ìµÄ·½Ïò²»Õý¶Ô׏âÔ´£¬ÕâÔÚijЩ³¡ºÏ²»¹»·½±ã£¬ÓÚÊÇÓÐÒ»ÖÖÖ±Êӷֹ⾵£¬Ëü¿ÉÒÔËæÉíЯ´ø£¬Òà³ÆÐäÕä·Ö¹â¾µ¡£ÕâÀïʹÓð¢ÃׯæÀâ¾µ»ò³Æ²¼ÀÊÄþÀâ¾µ£¨Í¼2£©¡£ËüÓɵ±ÖÐÒ»¿é»ðʯ²£Á§£¬Á½ÅÔ½ººÏÁ½¿éÃáÅÆ²£Á§Ëù×é³É¡£»ðʯ²£Á§Àâ¾µ¶ÔÓÚij²¨³¤£¨ÀýÈç dÏߣ©µÄÆ«Ïò×÷ÓÿÉÒÔÕýºÃΪÁ½¿éÃáÅÆ²£Á§Àâ¾µµÄ×÷ÓÃËùµÖÏû£¬µ«ÊÇ¶ÔÆäËû²¨³¤Ôò²»ÄܵÖÏû£¬ÓÚÊÇ»¹ÊÇÓÐÕ¹¿ªµÄ¹âÆ×£¬Ë䲻̫¿í£¬µ«±ãÓÚ×÷Ò»´Î¸ÅÂԵĿ¼²ì¡£¿ÉÒÔ²ÉÓÃÎå¿é»òÆß¿éÀâ¾µµÄ×éºÏÒÔÔö¿í¹âÆ×¡£ÎªÁËСÇÉ£¬³£½«ÍûÔ¶¾µÊ¡È¥¡£Èç¹ûÅäÒÔÕÕÏà»ú£¬Ôò¿ÉΪ¼òµ¥µÄʵÑéÊÒÌṩһ̨СÉãÆ×ÒÇ¡£

ͼ2

²»ÂÛÖ±Êӷֹ⾵»òÈçͼ1µÄ·Ö¹â¾µ£¬½Ô¿É¸½¼ÓÒ»Ö»¹â¹Ü£¬½«Ò»¿Ì¶È³ß¾­Àâ¾µµÄ×îºóÒ»ÃæÍ¶Éä³ÉÏñÓÚ¹âÆ×Ö®ÉÏ¡£ÕâÑù¾Í¿ÉÒÔ²»±Ø×ª¶¯ÍûÔ¶¾µ¶ø¶ÁȡС·¶Î§Ä򵀮×Ïß¼äµÄ¾àÀë¡£µ«ÊÇÕâÑù¸÷²¨³¤µÄ¹â²»ÄܽÔÒÔ×îСƫÏò½Çͨ¹ýÀâ¾µ£¬Òò¶ø·Å´óÂÊ»¥ÏàÉÔÒ죬Æ×Ïß¿í¶ÈÒ²ÉÔÒ죬Ïñ²îÒ²½ÏÉõ¡£ÕâЩ¶¼¶Ô·Ö±æ²»Àû¡£

ÓÃºãÆ«ÏòÀâ¾µ¿ÉÒÔ±£³Ö×¼Ö±¹ÜºÍÍûÔ¶¾µ¶¼²»¶¯¶øÖ»×ª¶¯ºãÆ«ÏòÀ⾵ʹ¸÷²¨³¤µÄ¹â×ÜÒÔ×îСƫÏòͨ¹ýÀâ¾µ¡£´ïµ½ºãÆ«ÏòµÄ°ì·¨Êǽ«Àâ¾µºÍÒ»´Î·´ÉäÏà½áºÏ¡£Ò»ÖÖ³£¼ûµÄÐÎʽÊǰ¢±´Àâ¾µ»ò³ÆÅåÁÖ£­²¼ÂÞ¿¨Àâ¾µ¡£ËüÓÉÁ½¸ö¡°°ëÀâ¾µ¡±£¨30¡ã¡¢60¡ã¡¢90¡ãµÄÀâ¾µ£©ºÍÒ»¿é45¡ã¡¢45¡ã¡¢90¡ãµÄ·´ÉäÀâ¾µËù×é³É(ͼ3ÖÐϸÏß)£¬µ«Ò»°ãÊÇÒ»Õû¿é¡£ÕâÀïµÄºãÆ«ÏòÊÇ90¡ã(ͼÖÐÐéÏß¼äµÄ½Ç)¡£ÕâÖÖÒÇÆ÷ÒÔÆä½ô´Õ·½±ãÓ¦ÓÃÓÚÐí¶àÉú²ú²¿ÃÅ£¬ÀýÈçÎö¸Ö¾µ¡£

ͼ3 ͼ4 ͼ5

ΪÁËÈ¡µÃ´óɫɢºÍ´ó·Ö±æ±¾Á죬¿ÉÒÔÓü¸¿éÀâ¾µ×é³ÉºãÆ«ÏòÀâ¾µ×é¡£³£¼ûµÄÒ»ÖÖ³ÆÎª¸£Ë¹ÌØÁÖÀâ¾µ×飬ËüÓÉÁ½¿éµÈ±ßÈý½ÇÐÎÀâ¾µºÍÒ»¿é°¢±´Àâ¾µ×é³É£¨Í¼4£©¡£Àâ¾µ¢ñºÍ¢óµÄÆ«Ïò×÷ÓÃÏ໥µÖÏû£¬ËùÒÔºãÆ«Ïò½Ç»¹ÊÇ90¡ã¡£Èç¹ûÏ£Íû¸ü¸ßµÄ·Ö±æ±¾Á죬Ôò¿ÉÒÔ½«Ëü±äΪ×Ô×¼µÄÐÎʽ¡£

×Ô×¼Êǽ«¹âÉä»ØÈ¥£¬Ò²¾ÍÊÇºãÆ«Ïò180¡ã£¬¿ÉÓÃÀûÌØÂÞ×°¼Ü·¨¡£ÕâÀïʹÓÃһƬÀûÌØÂÞ·´Éä¾µ£¬ÆäÇé¿ö¼ûÓÚͼ5µÄÓÒÉϽǡ£Ò²¿ÉÒÔÖ»ÓÃÀâ¾µPµÄÒ»°ë£¬ÔÚÕâÖ»°ëÀâ¾µµÄ×îºóÒ»Ãæ¶ÆÒø×÷ΪÀûÌØÂÞ·´Éä¾µ¡£¶ÔÓÚÕä¹óµÄ²ÄÁÏÕâÑù×ö×îºÃ£¬´óÐÍʯӢÉãÆ×ÒǾͲÉÓÃÕâÖֽṹ¡£

·Ö¹â¹â¶È¼Æ

ÊÇ·Ö¹â¼ÆºÍ¹â¶È¼ÆµÄ½áºÏ£¬ÓÃËü¿ÉÒÔÇó³ö¹âÆ×Öи÷²¿·ÖµÄÏà¶ÔÇ¿¶È£¬ÀýÈç²â¶¨Ä³ÎïÌåµÄ·´Éä±È°´²»Í¬²¨³¤¹âµÄÇé¿ö¡£×îÔçµÄ·Ö¹â¹â¶È¼Æ³öÏÖÓÚ1870¡«1880Äê¼ä£¬ÊÇÄ¿Êӵģ¬Ó¦ÓÃÐýתÉÈÆ¬ÂÖ£¬Â½Ä©£­²¼Âåºé¹â¶ÈÍ·»òÆ«Õñ¹âµÈ°ì·¨×÷Ϊ¹â¶È±È½ÏµÄÊֶΡ£¹âµçºÍÈȵç̽²âÆ÷µÄÐËÆð¼È±ÜÃâÁËÄ¿ÊÓµÄÈô¸ÉÖ÷¹ÛÓ°Ï죬ÓÖ½«¹Û²â·¶Î§À©´óµ½¿É¼û¹âÇøÒÔÍ⣬½ü°ë¸öÊÀ¼ÍÒÔÀ´£¬ºìÍâ·Ö¹â¹â¶È¼ÆÒòÆä±ãÓÚÑо¿·Ö×ӽṹ¶ø»ñµÃÖØ´ó·¢Õ¹¡£ËüÊÇÒ»ÖÖ¿¼²ìÎüÊÕ¹âÆ×µÄÒÇÆ÷¡£½Ï¼òµ¥µÄÐÍʽÊǵ¥¹âÊø·Ö¹â¹â¶È¼Æ£¬¹¤×÷ʱһ´ÎÖ±½Ó¶Ô׏âÔ´£¬ÁíÒ»´ÎÔÚ¹â·ÖмÓÈëËù¿¼²ìµÄÎïÖÊ£¬Æä²î±ðΪËùÇóµÄ½á¹û¡£ÕâÖÖÒÇÆ÷¼È¿ÉÄÜÓÉÓÚ¹âÔ´ºÍ̽²âÆ÷µÄ²»Îȶ¨¶ø²úÉúÎó²î£¬ÔÙÔòÒ²±È½Ï·Ñʱ¼ä£¬ÓÚÊÇË«¹âÊø·Ö¹â¹â¶È¼ÆÓ¦Ô˶øÉú¡£Í¼5ÊÇÒ»ÖÖ×Ô¶¯¼Ç¼ÒǵݲÅÅ£¬ÆäÖÐÓð¼¾µ´úÌæÍ¸¾µ£¬ÊÇÒòΪ²»ÈÝÒ×ÕÒµ½ºÏÊʵIJÄÁÏÖÆÔì͸¾µ¡£ºìÍâ¹âÔ´ S·¢³öµÄ¹â·Ö³ÉÁ½Ö§£º¾­¹ý°¼¾µm1¡¢m2µÄÊÇ´ý²â¹âÊø£¬½øÈëÑùÆ·³ØC1;ÁíÒ»Ö§¾­¹ým2¡¢m4µÄÊDzο¼¹âÊø£¬½øÈë¿Õ³ØC2£¬ÕâÖ§Öл¹ÓÐÒ»Ö»¿ÉÒÔ½øÍ˵ĵ÷½Ú¹â¶ÈµÄ¹âШW£¬¶øËüÊÇÓÉËÅ·þµç¶¯»úV´ø¶¯µÄ¡£Á½Êø¹â¼ÌÐøÇ°½ø£¬´ý²â¹âÊø¾­¹ým5£¬²Î¿¼¹âÊøÔò¾­¹ým6ºÍm8£¬È»ºó¶¼µ½´ïÉÈÐξµm7¡£ÕâÊÇÒ»Ö»°ëÔ²ÐεĶÆÒø×ªÅÌ£¬¿ÉÒÔʹÁ½Ö§¹âÊø½»ÌæÉäÖÁm9ºÍm10£¬¶øºó»á¾ÛÔÚµ¥É«Æ÷µÄÈëÉäÏÁ·ìS1´¦¡£µ¥É«Æ÷½«¹â·Ö³É¹âÆ×£¬×ª¶¯ÀûÌØÂÞ·´Éä¾µm12¿Éʹijһ²¨³¤µÄ×¼µ¥É«¹âÂäÔÚ³öÉäÏÁ·ìS2ÉÏ¡£È»ºó¹â»á¾ÛÔÚ̽²âÆ÷DÉÏ£¬Ëü·¢³öÐźŸøËÅ·þµç¶¯»úVÀ´¿ØÖƲο¼¹âÊøµÄÇ¿Èõ£¬µ±Á½·½ÏàµÈʱËÅ·þµç¶¯»ú¾Í¾²Ö¹ÏÂÀ´£¬ÕâÑù¾Í²â³öÑùÆ·µÄÎüÊճ̶ȡ£ÁíÒ»·½Ã棬m12µÄת¶¯Ò²Óë¼Ç¼ֽrÁª¶¯£¬ÓÚÊǼǼ³öÀ´µÄÇúÏßÊÇÎüÊÕ¶ÔÓÚ²¨³¤µÄ¹ØÏµ¡£

¹âÕ¤¹âÆ×ÒÇÆ÷

ÔÚÀâ¾µËùÄÜÊÊÓõIJ¨¶ÎÒÔÍâ³£ÓùâÕ¤×÷ΪɫɢԪ¼þ¡£¹âÕ¤µÄÁíÒ»ÓŵãÊÇËüµÄ·Ö±æ±¾Áì±ÈÀâ¾µÓÐÊýÁ¿¼¶µÄÌá¸ß¡£·Ö±æ±¾ÁìµÄ¹«Ê½ÊÇR=mN£¬ÆäÖÐmÊǹâÆ×¼¶£¬NÊǹâÕ¤ÉÏ¿ÌÏßµÄ×ÜÊý¡£¹âÕ¤ÒÇÆ÷µÄȱµãÊÇÓйíÏߺͼ¶µÄ½»µþÎÊÌ⣬ºóÕ߿ɼÓÂ˹⾵¡¢Àâ¾µ»òÆäËû¹âÕ¤³ýÈ¥£¬³ÆÎª¼¶´Î·ÖÀëÆ÷¡£´Óǰ¹âÕ¤µÄÓ¦ÓÃÖл¹³£ÓйâÄÜ·ÖÉ¢²»¼¯ÖеÄÎÊÌ⣬×ÔÉÁÒ«¹âÕ¤ÎÊÊÀÒÔÀ´£¬ÌرðÊÇ·´ÉäʽµÄС½×ÌݺÍÖн×ÌݹâÕ¤£¬ËüÃÇÒÑÄܽ«¹âÄܼ¯Öе½Ä³Ò»·¶Î§ÄÚ¡£ÏÈÊǹ㷺ÓÃÓÚºìÍⲨ¶Î£¬ºóÀ´Ò²À©´óµ½¿É¼ûºÍ×ÏÍâÇøÓò¡£Ò»Ð©¹¤×÷²¨¶Î½Ï¿íµÄÒÇÆ÷ÖвÉÈ¡½«¼¸¿é¹âÕ¤½»Ìæ²åÈë¹â·µÄ°ì·¨ÍØ¿í²¨¶Î·¶Î§¡£

¹âդװ¼ÜµÄ·½Ê½ÖÐ×î¼òµ¥¶ø½ô´ÕµÄÒ²ÊÇÀûÌØÂÞ×°¼Ü·¨£¬Èçͼ6Ëùʾ¡£¹âÕ¤Àë°¼¾µµÄ¾àÀëÓ¦¸ÃµÈÓÚ°¼¾µµÄ½¹¾à¡£ÁíÍâÒ»ÖÖÖøÃûµÄ×°¼Ü·¨³ÆÎª°£²®ÌØ-·¨Ë¹ÌÝ×°¼Ü·¨£¬Èçͼ7Ëùʾ¡£ÏÔÈ»Ëü²»ÈçÀûÌØÂÞʽ½ô´Õ£¬ËùÓð¼¾µ±È½Ï´ó£¬ÓÃÒÔʹ¹âÊøÆ½ÐеÄÊǰ¼¾µµÄÒ»²¿·Ö£¬¶øÔÙʹ֮¾Û½¹µÄÊÇÁíÒ»²¿·Ö£¬¶¼ÊÇÀëÖáµÄ£»ÓÉÓÚÆä¶Ô³ÆÐÔÖÊʹǰÕßËùÐγɵÄÏñ²î¼¸ºõÕýºÃΪºóÕßËùµÖÏû¡£ËäÈ»¶ÔÓÚÏûÇòÃæÏñ²îÎÞÄÜΪÁ¦£¬µ«¶ÔÌá¸ß·Ö±æ±¾ÁìÒÑÓкܴóºÃ´¦¡£°¼¾µµÄÖв¿Î´±»ÀûÓã¬È´ÄÜÔì³ÉһЩÔÓÉ¢¹â£¬ËùÒÔÒ»ÖָĽøÐÎʽÓÃÁ½Ãæ°¼¾µ£¬Õâ³ÆÎª²ñ¶ûÄá£­ÌØÄÉ×°¼Ü·¨¡£ÕâÑù×ö»¹¿ÉÒÔÓн϶àµÄ²Î±äÁ¿¹©Ñ¡Ôñ¡£

ͼ6 ͼ7

¶ÔÉÏÊöÈýÖÖ×°¼Ü·¨µÄ¸Ä½ø²»¶ÏÓÐËù̽ÌÖ£¬ÀýÈ磬¶ÔËüÃDzÉÓÃÀëÖáÅ×ÎïÃæ¾µ´úÌæÔ­À´µÄÇòÃæ¾µ¿ÉÒÔÈ¡µÃ¸üºÃµÄЧ¹û£¬¶ø°£²®ÌØÊ½¼¸ºõÄܹ»Ïû³ýËùÓÐÈüµÂ¶úÏñ²î¡£

°¼¹âÕ¤Êǽ«¹âÕ¤ºÍ°¼¾µ½áºÏÔÚÒ»ÆðµÄ½ô´ÕÆ÷¼þ£¬ÕâÑù×ö¾Í¼õÉÙÁ˹âµÄ·´Éä´ÎÊý¡£ÕâÖÖ¹âÕ¤³£ÓÃÓÚÔ¶×ÏÍⲨ¶Î£¬ÒòΪÔÚÕâ¸ö²¨¶ÎÖУ¬¸÷ÖÖ²ÄÁϵķ´Éä±¾Áì¶¼ºÜµÍ¡£´«Í³ÓжàÖÖ°¼¹âÕ¤µÄ×°¼Ü·¨£¬ËüÃǶ¼ÒÔÂÞÀ¼Ô²Îª»ù´¡¡£ÂÞÀ¼Ô²ÊÇÔÚ´¹Ö±ÓÚ¹âÕ¤¿ÌÏß²¢Í¨¹ý¹âÕ¤ÇòÃæÖÐÐĵį½ÃæÄÚ×÷Ò»Ô²£¬ËüÓë¹âÕ¤ÖÐÐÄÏàÇУ¬¶øÆäÖ±¾¶µÈÓÚ¹âÕ¤µÄ°ë¾¶¡£Õâ¸öÔ²¾ßÓеÄÌØÐÔΪ:Èç¹û¹âÔ´·ÅÔÚÔ²ÖܵÄijһµãÉÏ£¬¹â¾­¹ý°¼¹âÕ¤ÑÜÉäºó»á¾Û½¹ÓÚ¸ÃÔ²ÖܵÄÁíÒ»µãÉÏ¡£°¼¹âÕ¤ÊÊÓÃÓÚÔ¶×ÏÍâÇøÓò£¬Òò´ËҪװÔÚÕæ¿ÕÖС£µ«Õæ¿ÕÖе÷½ÚÒÇÆ÷²»·½±ã£¬´«Í³×°¼Ü·¨ÓÚÊDzÉÈ¡ÉãÆ×ÒǵÄÐÎʽ£¬ÅÄÕÕʱ²»±Øµ÷½Ú£¬µ±ÒªÇó¶Ô¹âÆ×·¶Î§×÷½Ï´ó±ä¶¯Ê±²ÅÐèÒªµ÷½Ú¡£

ÏÖ´ú¹âÆ×ÒÇÆ÷Öг£¼ûµ¥É«Æ÷£¬ÒªÓÐÒ»¸ö¾­³£×ª¶¯µÄ²¿·Ö£¬¾Éʽװ¼Ü·¨²»¹»·½±ã¡£20ÊÀ¼Í50Äê´úÒÔÀ´£¬ÈÕ±¾¿ÆÑ§¼ÒÌá³öÁËһЩ±ãÓÚ×÷µ¥É«Æ÷µÄ°ì·¨£¬ÆäÖÐÒÔäþ¹È-²¨¸Ô×°¼Ü·¨Îª×îÖøÃû£¨Í¼8£©¡£ÕâÀïµÄ¹âÕ¤ Gת¶¯Öáͨ¹ýÆä¿ÌÏß±íÃæ²¢Æ½ÐÐÓÚ¿ÌÏß¡£µ±¹âդת¶¯Ê±ÈëÉäÓë³öÉäÏÁ·ìÒѲ»ÔÚÂÞÀ¼Ô²ÉÏ£¨ÐéÏߣ©£¬µ«ÈçÈëÉäÓë³öÉäµÄÖ÷¹âÏß¼ä¼Ð½ÇȡΪ70¡ã30©Å£¬Ôò¶ÔÓÚ½Ï¿í²¨¶ÎÏñ²î²»Ì«´ó¡£´Ë·¨ÔÚ»úеÉϵļò±ãÐÔÒÑʹÆäÓ¦ÓÃÓÚÉÌÒµÒÇÆ÷ÉÏ¡£

ͼ8 ¸ÉÉæ¹âÆ×ÒÇÆ÷

ÒÔ¹âµÄ¸ÉÉæ×÷Ϊ·Ö¹âÊֶεĹâÆ×ÒÇÆ÷¡£¸÷ÖÖ¸ÉÉæÒÇÖУ¬×ʹÓõÄÊÇ·¨²¼ÀçêÂÞ¸ÉÉæÒÇ£¬ËüʹÓ÷½±ã¶øÇÒÓɶà´Î·´Éä¿ÉÔì³ÉºÜÕ­µÄ¹âÆ×Ïß¡£ËüÓëÀâ¾µºÍ¹âÕ¤¹âÆ×ÒÇÆ÷²»Í¬£¬²»ÐèÈëÉäÏÁ·ì£¬¶øÒÔÀ©Õ¹¹âÔ´Ö±½ÓÉäÖÁÒÇÆ÷£¬ÓÚÊÇÓɵÈÇã¸ÉÉæµÄ·½Ê½½«²»Í¬²¨³¤µÄ¹âÐγɲ»Í¬´óСµÄ¸ÉÉæ»·¡£¿ÉÊÇÔ²»·»òÔ²¿××÷Ϊ³öÉäÏÁ·ì¡£

¸ÉÉæ¹âÆ×ÒÇÆ÷µÄ·Ö±æ±¾ÁìÒ²ÊÇR£½mN£¬Ê½ÖеÄmÈÔÊǹâÆ×¼¶£¬N ÔòΪ²Î¼Ó¸ÉÉæµÄ¹âÊøÊý£¬ÔÚ¹âÕ¤ÖУ¬m×ܲ»ÄÜÌ«´ó£¬¼´Ê¹ÊÇÖн×ÌݹâÕ¤£¬mµÄÊýÁ¿¼¶Ò²Ö»ÊÇ102¡«103£¬µ«¸ÉÉæ¹âÆ×ÒÇÆ÷¿ÉÒÔ´ïµ½105¡£Òò´Ë¸ÉÉæ¹âÆ×ÒÇÆ÷µÄ·Ö±æ±¾ÁìºÜ¸ß£¬²»¹ýmÉõ´óÒâζ׿¶µÄ½»µþÒ²ÑÏÖØ¡£µ«¸ÉÉæÒÇÆ÷µÄ¿¼²ì¶ÔÏóÊÇÆ×Ïߵľ«Ï¸½á¹¹»òÆ×Ïß±¾ÉíµÄÐÎ×´µÈÎÊÌ⣬ÓÚÊDz»·ÁÁîÆäÖ»ÓкÜÕ­µÄ²¨¶Î½øÈë¸ÉÉæÒÇ¡£ÀýÈ磬ÓÃһ̨µ¥É«Æ÷»òÓÃÁíÒ»¸ö¼ä϶ºñ¶È²»Í¬µÄ·¨²¼ÀçêÂÞ±ê×¼¾ß×÷Ϊ¼¶´Î·ÖÀëÆ÷¡£

¸ÉÉæ¹âÆ×ÒÇÆ÷µÄÒ»ÖÖ½Ïз¢Õ¹¼û¸µÀïÒ¶±ä»»·Ö¹â¼Æ¡£