断裂试验

断裂力学中确定材料和结构断裂特性的试验。断裂特性是指材料或结构中与裂纹起裂、扩展、止裂和失稳有关的特性,如脆性转变温度(包括无延性转变温度、脆性断裂起始转变温度等)、裂纹扩展速度和断裂韧性等。常用的表征断裂特性的参量有:临界应力强度因子K公式 符号(见线弹性断裂力学)、临界裂纹张开位移(见COD法)和J积分的断裂临界值J公式 符号等。断裂力学在工程中的应用已相当普遍,为了对工程结构作断裂分析,必须先通过试验,获得材料或结构的断裂特性数据。断裂试验涉及的范围很广,按试验的规模断裂试验可分为小型的试验室试验、大型的试验室试验和实际的结构试验;按加载速度可分为静态试验和动态试验;按试验环境可分为高温、低温和包含腐蚀介质的试验;按加载方法可分为拉伸和弯曲试验等。常用的试验有下列四种:

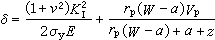
(1)三点弯曲试验 这是断裂韧性测试中应用最广的一种。因试验中对试样进行三点弯曲加载而得名。三点弯曲试验如图1所示,它用于测定应力强度因子KI、裂纹张开位移δJ积分等参量。试验中通过测得的载荷- 位移(裂纹嘴张开位移或施力点位移)曲线,可计算出与临界条件相应的参量值。三点弯曲试验中断裂力学参量的表达式如下:

公式 符号

公式 符号

公式 符号

式中P为试验载荷;WB分别为试样的高和宽;a为试样中的裂纹长度;y1为三点弯曲试样的几何形状因子,它是a/W的函数(查表);ν泊松比;σy为材料的屈服应力;E为弹性模量(见材料的力学性能);z为与位移测量位置有关的常数;Vp为裂纹嘴张开位移的塑性部分;Up为试样应变能的塑性部分;rp为试样塑性变形阶段的转动因子,常取0.40或0.45。将断裂时的各测量值代入上述公式,就得到KIδJ的临界值。

图

(2)紧凑拉伸试验 和其他具有同等测试能力的试验相比,这种试验的体积最小(尺寸紧凑),因而得名。紧凑拉伸试验已在断裂韧性和裂纹扩展速度测试中得到广泛应用,特别是被用于核压力容器材料的评价和研究中。紧凑拉伸试验如图 2所示。试验时通过加载孔对试样施加拉伸载荷。紧凑拉伸试验中断裂力学参量的表达式为:

公式 符号

公式 符号

式中y2为紧凑拉伸试样的几何形状因子;t为试样厚度。

图 图

(3)落锤试验 落锤试验属于动态断裂试验,它是一种特制的简支梁式的试验。图3为落锤试验示意图。试样的受拉伸表面上,堆焊一条纵向的脆性焊道,在焊道上锯一个横向切口。试验时,将试样冷却到一定的温度,让锤头自由落下,对试样作一冲击,并测出使试样脆性焊道上的切口开裂到边缘的最高温度。这温度称为材料的无延性转变温度,简称NDT。它在设计中作为材料的最低使用温度。

(4)宽板试验 宽板试验是一种大型的试验室试验。在很多情况下,它可以模拟实际焊接结构的断裂。最常用的带切口的焊接宽板试样如图4所示。试样纵向焊缝两侧预先制成的切口用于模拟裂缝。试验时,在所要求的温度下对试板施加拉伸载荷,并测量切口达到开裂时的载荷和应变。低于某一温度时,试板在低应力下就开裂;而在该温度以上,断裂前试板发生屈服,并产生大的应变,这个温度就是脆性断裂起始温度。这种试验往往要求试验机具有数千吨的加载能力。

图

断裂试验是随工程断裂问题的研究和断裂力学的发展而发展起来的。到目前止,用三点弯曲试验、紧凑拉伸试验测试临界的 KIδJ积分的试验方法以及落锤试验的试验方法等已经标准化,但尚需进一步完善。而另一些与环境因素有关的试验、结构模拟试验等则仍在发展之中,有待标准化。另外,各种断裂试验之间的相互关系,试验室试验与结构运行性能之间的关系等,都有待进一步积累数据和研究。