钻探水力学

水力学和钻井液流变学的原理,研究钻孔内钻井液流动状况和规律的学科。用以解决钻孔内的排除岩屑、冷却钻头、水功率利用、优化钻探等实际问题。钻探水力学又分为钻孔环空水力学和钻头水力学两部分。

钻孔环空水力学

研究钻具及孔壁之间环状空间(简称环空) 内钻液的流态、压力降、动压力、流速等相互关系。钻孔冲洗液牛顿流体,且钻杆在钻孔内运动,经不同学者的研究,提出一系列公式和参数,并开展了模拟试验研究。

(1)环空流态及冲蚀能力。用何种参数或方法判断流态为层流或紊流,大多数人仍采用雷诺数

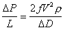
公式 符号

μe为钻井液有效粘度,随剪切速率而变化,由流变学中不同流变模式进行计算。钻井液流对孔壁的冲蚀能力决定于流态。紊流冲蚀能力强,易使钻孔超径;层流冲蚀能力弱,膨胀地层。有人提出冲蚀能力用临界孔径来衡量。保持层流必须的最小孔径为临界孔径Dc,钻头直径为Db,冲蚀准数I可表示为

公式 符号

(2)环空压力降及等效循环密度。钻井液循环时在环空中的压力降,是泵压的重要组成部分。其计算公式

公式 符号

式中△P/L为单位钻孔深度上的环空压力降(帕/米);△D为钻孔直径与钻具外径之差(米);V为液流在环空中上返速度(米/秒);ρ为钻井液密度(千克/立方米);f为摩阻系数,层流时f=24/Re,紊流时f=α/Rebα=0.046~0.079,b=0.2~0.25。

环空压力降消耗水力功率,在高压喷射钻探中采用孔底动力机时,尽可能减小环空压力降及钻杆内压力降,以提高孔底功率。环空压力降作用在孔壁上,形成动压,影响内压力平衡。钻井液循环时,孔壁所受压力为静压(液柱压力)与动压力之和,相当于钻井液密度增大形成的压力,此增大的密度,称等效循环密度(ρE),可表示为

公式 符号

(千克/立方米)

(3)激动压力。起下钻具时,钻具运动迫使钻井液运动,钻具的速度及加速度传给钻井液,从而产生非连续性的压力降,形成粘滞波和惯性波,这是另一种动压。由于钻具运动的速度和加速度的方向不同,压力有抽汲和挤压两种,常常交互作用在孔壁上。首先需要计算环空中由钻具运动引起的钻井液速度和加速度。此外由开泵之初,钻井液静切力引起另一种激动压力(结构波)。

(4)岩屑流送。岩屑由钻井液输送至地表过程中,因重力而下沉,具有滑落速度。钻井液上返速度大于滑落速度,才能有效地将岩屑输送至地表。因此,必须研究滑落速度和岩屑尺寸、形状、钻井液粘度、流速等的关系。

(5)钻井液流变性能与流量的选择。要从几个方面综合考虑最优效果,选择流变性能和流量。

钻头水力学

研究钻头底部钻井液流动规律,如液流分布、压力降和水功率利用等。以使钻头得到充分清洗和冷却,孔底得到良好净化,使钻头提高钻速和钻头寿命。金刚石钻探中,使用的金刚石耐磨性极高,一旦温度升高,磨损速度呈指数增大。如切削具上吸附着岩屑,则使其热传导受到严重阻碍。通过试验与计算寻求解决以下问题:

(1)可能达到的钻头比水马力(单位钻头底面积上的水力功率)及不同岩层最适宜的数值。如软岩层280~350瓦/平方厘米,中硬岩层220~280瓦/平方厘米,硬岩层170~220瓦/平方厘米。

(2)钻头各部位压力降及总压力降的试验测试,找出其影响因素。

(3)水路面积的合理数值。过大则液流速度太低,得不到有效冲洗;过小则压力过大,钻头憋水,可能导致烧钻,或产生大的升举力,降低钻压。

(4)水口、水槽的合理布置(尺寸、数目、分布),涉及液流冲洗范围和流速分布。水口尺寸大而数目少,则只能有部分钻头的唇面得到冲洗和冷却;水口分布适当,则钻头唇面绝大部分得到有效冲洗(见图)。

图

20世纪60年代前,钻探水力学尚未形成学科,只是用水力学计算压力降,为设计流体机械服务。70年代以后,环空水力学发展为指导钻孔稳定,钻头水力学用以指导提高钻速和钻头寿命。同时钻探水力学逐渐成为优化钻探最重要的一部分。通过环空水力学和钻头水力学的研究,达到最大限度地降低环空压力降,提高孔底水功率。

参考书目
  1. 刘希圣等编:《钻井工艺原理》,石油出版社,北京,1981。