举力

在流体中运动的物体所受的与来流方向垂直的力,又称升力。举力的产生同速度环量有极密切的关系。考虑圆柱的有环量绕流问题,图中画出了不加点涡(图之a)和加点涡后的流线图。从图之c上可以看出, 加点涡后的流动对y轴是对称的,所以圆柱将不遭受阻力;但由于存在速度环量,流动对x 轴不再对称。因此,必然产生垂直来流方向的合力。举力的产生可以更细致地分析如下:在圆柱上表面,顺时针方向的环流和无环量的绕流方向相同,因而速度增加;在下表面二者方向相反,因而速度减小。根据伯努利定理,上表面压力减小,下表面压力增大,从而产生向上的举力。利用伯努利定理和物面上速度的表达式,经过积分计算可得:

公式 符号        (1)

式(1)称为儒科夫斯基定理,它指出,举力L的大小同速度环量Γ、来流速度V和流体的密度ρ在正比。要决定举力的方向,只要把来流速度矢量逆速度环量方向旋转90°即得。式(1)不仅对圆柱绕流问题是正确的,而且对于有尖缘的任意翼型也是正确的。

图

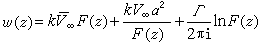
任意翼型绕流问题的复位势为:

公式 符号

式中V公式 符号分别为无穷远处的复速度和共轭复速度;ζF(z)是将半径为a的圆互为单值且保角地映射到任意翼型上去的解析函数公式 符号。求作用在物体上的合力的一般程序是:先求出物面上的速度分布,然后根据伯努利定理求出物面上的压力分布。将压力矢量沿物面积分即得作用在物体上的合力。复变函数方法的优点在于存在着求合力的恰普雷金公式:

公式 符号

式中L为共轭复合力;C为物体的边线。于是只要求出公式 符号的残数就能很容易地求出合力,不必求助于很麻烦的普通积分,从而显著地简化了计算。公式 符号的劳伦级数为:

公式 符号

将其平方后代入恰普雷金公式得公式 符号, 取其共轭值后,得:

公式 符号。        (2)

这就是任意翼型的儒科夫斯基定理。

举力系数CL的定义为:

公式 符号        (3)

式中l为特征尺度,在圆柱和翼型问题中分别是圆柱直径和弦长。将式(2)代入式(3),可得举力系数的表达式。在一定马赫数下,举力系数CL飞行器的攻角α而变化,当α不大时,CLα的变化是线性的。