[拼音]:dayangben tongji
[外文]:large sample statistics
研究样本大小n趋于无限时,统计量和相应的统计方法的极限性质(又称渐近性质),并据以构造具有特定极限性质的统计方法。例如,用样本均值
估计总体均值θ,在n→
时,
以概率1收敛于θ(见概率论中的收敛),称
为θ的强相合估计。
的这个性质只有在n→
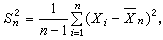
时才有意义,这叫做大样本性质,而强相合性的研究属于大样本统计的范围。根据统计量的极限性质而得出的统计方法称为大样本方法。例如:设X1,X2,…,Xn是从正态总体N(μ,σ2)中抽出的样本,μ和σ未知,要作μ的区间估计。记样本方差为
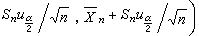
当
依分布收敛于标准正态分布N(0,1)。基于这个性质可知, 当n较大时,可用
作为 μ 的区间估计,其中
是标准正态分布的上
分位数(见概率分布);这个估计的置信系数当n→
时趋于指定的 1-α(0<α<1)。这就是一个大样本方法。
与大样本性质和大样本方法相对,小样本性质是指在样本大小n固定时统计方法的性质,小样本方法是指基于n固定时的统计量性质的统计方法。如上述第一例,当n固定时有E
=θ,即
为θ的无偏估计(见点估计);
的这个性质在n固定时有意义,所以是小样本性质。又如,英国统计学家W.S.戈塞特(又译哥色特,笔名“学生”)在1908年找到了
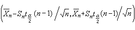
的精确分布为自由度是n-1的t分布(见统计量)。基于此事实,可知对任何固定的n,μ的区间估计
具有确切的置信系数1-α。其中
是自由度为n-1的 t分布上
分位数。这个性质对任何固定的 n都成立。因而上述区间估计是小样本方法。总之,区分大、小样本性质(或方法)的关键在于样本大小 n是趋于无限还是固定,而不在于n数值的大小。
小样本方法也称为“精确方法”,因为它往往是基于有关统计量的精确分布(如前例中的t分布);与此相应,小样本方法的统计特性,如显著性水平(见假设检验)、置信系数(见区间估计)等,往往是精确而非近似的。与此相对,大样本方法也称为“渐近方法”或“近似方法”,因为它是基于统计量的渐近分布,且有关的统计特性只是近似而非精确的。在应用中,样本大小n总是一个有限数,这里就有一个近似程度如何的问题。如在对N(μ,σ2)中的μ作区间估计的例子中,指定的置信系数为0.95,按大样本理论作出区间估计
当n→
时,其置信系数趋于0.95,但即使n很大,置信系数也只是接近而非确切等于0.95。为了在使用它时做到心中有数,需要在n固定的情况下,对真实的置信系数与其近似值0.95的差距作出有用的估计,在大样本方法的使用中,一般都存在此问题。但由于数学上的困难,目前使用的许多大样本方法中,通常很少有有效的误差估计,这是大样本方法的弱点。然而它仍有重要的理论和实际意义:它不仅提供了一批可供选用的统计方法,而且,经验证明,当一个统计方法不具备某些基本的大样本性质(如相合性)时,常常也很难有良好的小样本性质。评价一个统计方法的优良性时,大样本性质是不可忽视的。
相合性,是一项重要的大样本性质。一般地说,统计方法的相合性是指:只要样本大小n足够大,则使用这个统计方法时,可以用任意确切的程度回答所提出的统计推断问题。例如,估计的相合性是表示,当n→
时,估计量在一定意义下,如依概率收敛或几乎必然收敛或以r阶平均收敛 (见概率论中的收敛)于被估计值。检验的相合性是指它在任意指定的备择假设处的功效当 n→
时趋于 1。相合性是最基本也是最容易满足的大样本性质。还有渐近无偏性、渐近有效性(见点估计)、和渐近正态性,或更一般地,渐近于某种特殊的极限分布的性质,也都是重要的大样本性质。
大样本统计的发展,依赖于概率论的极限理论,它在一定程度上已构成概率论极限理论的一个方面。1900年K.皮尔森证明了关于拟合优度的ⅹ2统计量的分布渐近于ⅹ2分布的著名定理,可以作为大样本理论的发端。更早一些,在概率论中就证明了关于二项分布渐近于正态分布的定理,这个定理也可用于大样本统计方法(求二项分布参数的大样本区间估计),但习惯上把这定理看作是纯粹概率论的定理。自1900年以后,特别是二次大战后的30多年中,大样本理论发展很快,达到了相当深入的地步,重要的结果有:关于拟合优度的ⅹ2检验渐近于ⅹ2分布的理论,最大似然估计及一般渐近有效估计的理论,似然比检验及一般渐近有效估计的理论,稳健估计大样本理论以及非参数统计中大量的大样本理论。现在,大样本理论在数理统计学中仍是一个活跃的研究方面。(见假设检验、点估计、稳健统计)
- 参考书目
- J. Serfling,ApproxiMation Theorems in MatheMatical Statistics, John Wiley & Sons, New York,1980.