[拼音]:cilizi lilun
[外文]:magneto-ionic theory
研究电磁波在磁离子介质中传播规律的理论。由处于外磁场中的自由电子、正负离子和中性粒子组成的宏观上电中性的冷等离子体称为磁离子介质。电离层属于磁离子介质,因而磁离子理论也是电离层中电波传播的理论基础。
简史1925年,Sir E.V.阿普尔顿和巴尼特(M.A.F.Barnett),尼科尔斯(H.W.Nichols)和谢伦格(J.C.Schelleng)同时注意到带电粒子和地磁场对无线电波传播过程的重要作用。阿普尔顿(1927,1932)和哈特里(D.R.Hartree,1931)最先分析了自由电子在外加电磁场和地磁场作用下的运动,包括考虑电子与其他粒子碰撞的影响,进而分析了电子的这种运动所产生的二次电磁场,从而得出了电离层对无线电波的复折射指数的公式,建立了磁离子理论,上述公式因而称为阿普尔顿-哈特里公式,这类公式往往又统称为色散方程。阿普尔顿只考虑了自由电子的作用,忽略了离子的影响。由于电子的质量比离子小得多,除了对于低频、超低频无线电波外,做这样的近似是可以的。同时阿普尔顿没有考虑电子的热运动,即把电离层看作冷等离子体,在一般情况下作此近似也是可以的。1935年,古鲍(G.Goubau)同时考虑了电子和离子对电波的作用。1960年森(H.K. Sen)和怀勒(A.A.Wyller)考虑到碰撞频率与粒子运动速度有关的事实,以及因此而引起的非线性现象。
磁离子介质中的电磁波受电磁波作用而作加速运动的带电粒子辐射出次波,所有的次波与入射波矢量相加形成在介质中的波场。介质和波的这种相互作用,决定了波传播的相速度和群速度,表现为介质对电磁波的色散特性。作加速运动的带电粒子与其他粒子相互碰撞,将一部分电磁波能量转变为粒子热运动的能量,表现为介质对电波的吸收。外磁场对带电粒子的作用使介质对电波的折射指数与波矢的方向有关,呈现出各向异性的特点。同时,在同一方向上存在两个相速度,各相应于不同偏振的特征波,所以说磁离子介质是双折射介质。当电磁波的频率很高时,由于惯性,介质中的带电粒子来不及作大幅度的运动,辐射次波很弱,介质的色散特性和吸收效应很小,因而电波传播损耗极小,传播速度接近真空中的光速。
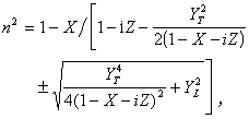
磁离子介质的复折射指数对于沿 z方向传播的单色平面电磁波,其场量的时空变化可以采用复指数函数
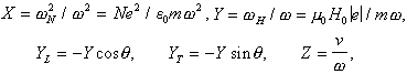
描述,这里ω为电波角频率,c为真空中光速,t、z为时空坐标,n为复折射指数。复折射指数n可描述介质对电磁波的色散和吸收特性, 以及电波的偏振特性。它是电子密度N、碰撞频率v、电波角频率ω、以及电波波矢量与外磁场夹角θ和外磁场强度H0的函数,由阿普尔顿-哈特里公式给出:
式中
e,m为带电粒子电荷和质量,ωN为等离子体角频率,ωH为粒子回旋频率,ε0和μ0分别是真空的介电常数和导磁率。
如略去碰撞的影响,即取Z=0,当n2大于零时,波以行波的形式传播;n2等于零时,介质中各带电粒子在电磁波的作用下作同相振动,称为等离子体振荡,其角频率为ωN;n2小于零时,电场强度和磁场强度互相垂直,但相位相差90°,所以在介质中无能量传输,这样的波的振幅按指数迅速衰减,称为消散波。
入射电磁波的能量在介质中以电场能量、磁场能量和带电粒子运动的动能等几种形式表现出来。当电磁波的频率足够高时,离子运动的影响可以略去,在折射指数接近于1时,介质中电场的能量密度与磁场的能量密度相等,且远大于电子运动的动能,这时的波称为“电磁”的。当折射指数接近于零时,电场能量等于电子运动的动能,且远大于磁场能量,这时的波称为“电运动”的。当电磁波的频率足够低时,应考虑离子运动的影响。此时,折射指数远大于1,离子运动的动能与磁场能量相等,且远大于电场能量,这时的波称为“离子磁波”,它以阿尔文速度传播,沿用阿尔文的术语,也可称为“磁流波”。
偏振在磁离子介质中传播的电磁波,其电(或磁)向量不断地改变方向和大小,可用这向量端点所描画的轨迹来表示电磁波的这种特征,称为电磁波的偏振。波的偏振状态取决于场向量在 3个相互垂直方向上的分量之比。任何两个分量之比一般为复数,它表示在相应的平面内,向量端点所描画的轨迹为椭圆,这样的波称为椭圆偏振波。在一些特殊情况下椭圆退化为圆或直线,相应电磁波分别称为圆偏振波或线偏振波。沿着波矢方向看,向量旋转的方向符合右手法则的称为右旋偏振,符合左手法则的称为左旋偏振。在传播过程中,如果波的偏振状态保持不变,则称该波为特征波。
吸收受电磁波影响而作加速运动的带电粒子从波中吸取了能量,并通过碰撞将一部分有规的动能,转化为随机的热运动能量。因此,在电波传播的过程中电磁场能量将不断转化为介质热运动能量。当ω2<<v2时,吸收的大小与v成反比,这是因为碰撞频率高,连续两次碰撞之间的时间短,带电粒子受波场作用而作加速运动的持续时间短,从波场中取得的能量小的缘故。当ω2>>v2时,吸收的大小同v成正比,但同ω2成反比,这是因为碰撞次数多损失的能量也多;而电波频率高,带电粒子在同一方向作加速运动的持续时间短,于是吸收的能量少。外磁场的存在对吸收有明显的影响,非常波所受到的吸收一般比寻常波的大。
纵向传播波的传播方向同外磁场方向平行。电磁波的所有场向量以及相关的粒子运动均在垂直于波矢量的平面内。纵向传播有两种特征波,分别是左旋圆偏振波(L波)和右旋圆偏振波(R波)。对于L波,当波的角频率ω等于离子的磁旋频率 ωHi时,n2趋于无穷。另外,记n2=0时的电磁波角频率为 ωc1 和 ωc2,且ωc2>ωc1,则当ω< ωHi 和ω >ωc1时,n2>0,波以行波形式存在。当ωHi<ω<ωci时,n2<0,波只能以消散波的形式存在。对于R波。当ω=ωHe(电子的磁旋频率)时,n2 趋于无穷;当ω< ωHe和ω >ωc2 时,n2>0,波以行波形式存在;当ωHe<ω<ωc2 时,n2<0,波只能以消散波的形式存在。不论是L波还是R波,当ω趋于无穷时,n2→1。当ω→0时,n →nA(阿尔文折射指数)。
横向传播波的传播方向垂直于外磁场方向。横向传播的两个特征波中有一个是电向量同外磁场方向平行的线偏振波,它不受外磁场的影响,称为寻常波(O波);另一个是偏振平面同外磁场垂直的椭圆偏振波,在传播方向上存在有场矢量的分量,这一特征波受外磁场的影响,称为非常波(X波)。对于O波,当ω=0时,n2趋于无穷;ω<ωN时,n2<0,波只能以消散波形式存在;ω=ωN时,n2=0,波将会激发出等离子振荡,ω>ωN时,n2>0,波以行波形式存在。当ω趋于无穷时,n2趋于1。对于X波,存在下面几个特殊频率, 使n2 趋于无穷的频率
和
;使n2=0的频率ωc1 和ωc2,当ω<
,ωc1<
和ω>ωc2时,波以行波形式存在。当
<ω<ωc1 和
<ω2<ωc2时,波以消散波形式存在;当ω趋于零时,n趋于nA;当ω趋于无穷时, n趋于1。如果
>
则称
为下混合频率,
为上混合频率。这些波的电向量与波矢量平行。ω=
时,电子与离子在同一方向上运动;ω=
时,电子与离子在相反方向上运动。
在一定条件下虽然波的传播方向不是严格的横向或纵向,但波的传播具有与纵向传播或横向传播相同的性质,分别称为准纵传播或准横传播。当ω>>ωH和ωHi<<ω<<ωH时,几乎沿所有方向的传播都可用准纵近似。当ω接近于ωN和ω<<ωHi时,几乎沿所有方向传播都可用准横近似。当ω趋于零时,除沿外磁场方向外均可用准横近似。当ω趋于无穷时,除垂直于外磁场方向外均可用准纵近似。
当电波波矢量与外磁场夹角θ为任意值时,波进入介质后,分成两个特征波,其中一波在θ连续地过渡到90°时,与横向传播的寻常波一致,这一特征波也称为寻常波,而另一波为非常波。但此两波均受外磁场影响。
渡越频率当介质中有几种离子成份时,则可能在某一些频率上,两个特征波的折射指数相同,这些频率称为渡越频率。如果此时波的偏振状态又非常接近,则会发生由一种特征波激发出另一种特征波的现象。
- 参考书目
- J.A.Rateliffe,The Magneto-ionic Theory and Its Application to Ionosphere, Cambridge Univ.Press,London,1959.