无线电波传播

无线电波通过介质或在介质分界面的连续折射或反射,由发射点传播到接收点的过程。

无线电通信是利用无线电波的传播特性而实现的。因此,研究无线电波的传播特性和模式,是提高无线电通信质量的重大课题。

图

波段划分

不同波长(或频率)的无线电波,传播特性往往不同,应用于通信的范围也不相同。因此,在通信中根据无线电波的波长(或频率)把无线电波划分为各种不同的波段(或频段)。波段的划分在国际上没有统一的标准,中国对无线电波波段的划分法见无线电波段表。

传播特性

无线电波在空间或介质中传播具有折射、反射、散射、绕射以及吸收等特性。这些特性使无线电波随着传播距离的增加而逐渐衰减,如无线电波传播到越来越大的距离和空间区域,电波能量便越来越分散,造成扩散衰减;而在介质中传播,电波能量被介质消耗,造成吸收衰减和折射衰减等。

无线电波在真空中传播,称为在自由空间传播,它的传播特征为扩散衰减。衰减的定义为:距辐射源某传播距离处的功率密度同单位距离处的功率密度之比,其值反比于传播距离的平方。

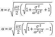
在传播介质中,无线电波的传播特性不仅有扩散衰减,还有介质的折射和吸收造成的衰减。这两种衰减分别取决于介质的折射率n和吸收衰减常数ɑnɑ都是频率f、介质磁导率μ、介电常数ε和介质电导率σ的函数,即

式中ω=2πfc为光速;对于电离气体介质:

式中ε0为自由空间介电常数;N为电子密度;v为电子与中性分子的每秒碰撞次数;em分别为电子的电量和质量。

传播模式

通常指电磁波在各种介质中传播的一些典型方式。在地球上,无线电波的传播介质有地壳、海水、大气等。根据物理性质,可将地球介质由下而上地分为地壳高温电离层、地壳介质岩层、地壳表面导电层、大气对流层、高空电离层。不同频率的无线电波,在各层介质中传播的折射率n和吸收衰减常数ɑ各不相同。因而各种频段的无线电波在介质中传播均有其衰减较小的传播模式。适于通信的传播模式主要有以下九种。

地壳波导传播

以地壳表面导电层和地壳高温电离层为界面,以地壳介质岩层为介质形成地壳波导的传播模式。超长波或更长波段的电波可以在地壳波导中传播到千余公里。但由于深入地下数公里的天线难以建造,现在还不能实际应用于通信。

水下传播

无线电波在海水中传播的传播模式。电波在海水中的吸收衰减随频率升高而增大,目前仅用于超长波水下通信

地表波传播

无线电波沿地壳表面传播的传播模式,又称地波传播。地面吸收衰减导致波阵面前倾,使单位距离吸收衰减率随传播距离的增大而增大。地面吸收衰减随频率升高而增大。地波传播用于中频(中波)以下频段。

电离层传播

利用电离层和地面对电磁波的一次或多次反射进行传播的传播模式,又称天波传播。电离层按高度由下而上地分为D、E、F1和F2等几个主要层次。各个层次中部的电子密度最大值由下而上逐层增加,而电子和中性气体分子的单位时间碰撞次数则逐层减少。电离层的高度和电子密度均随季节、昼夜和太阳黑子活动而变化(见图)。

无线电波只能在折射率n值随高度递减的区域开始折返地面,电波途径最高点处的折射率n值等于电波入射角θ0的正弦函数。对应于某一折射角,存在一个最高频率,其传播途径的最高点可以达到F2层的最大电子密度区。此频率称为最高可用频率MUF。频率超过MUF的电波则穿透电离层不再返回地面。对应于最大入射角的最高可用频率的最大值约为30MHz。

图

由于电离层的吸收衰减,不同波段的无线电波各具有不同的特点,从而形成不同的传播模式。

(1)短波段:电波可穿过D、E层到达F层,一般可满足的条件,吸收衰减大致与频率的平方成反比,所以工作频率应尽量接近MUF。由于MUF随季节、昼夜和太阳黑子活动周期变化,工作频率必须相应地改变。此外,地壳表面导电层的上界面,对大入射角短波有良好的反射作用,可使下行天波转变为上行天波,这样就形成了多跳电离层传播模式。

(2)中波段:昼间的D层有强烈的吸收作用,只有当夜间仅有E层存在时,才能形成电离层传播模式。

(3)长波段和超长波段:电离层下缘满足条件ωV,昼间D层形成导电层反射面,夜间E层形成介质层反射面,并与地壳表面导电层构成大地-电离层波导的上下界面,其传播衰减主要来自电离层的吸收,衰减值随频率递增,超长波段的传播距离可达数千公里。

电离层散射传播

利用高度约85公里处电离层的不均匀性所产生的散射波进行通信的传播模式。工作频率为30~60MHz,传播距离为800~2000公里。

对流层散射传播

利用无线电波在大气湍流气团中产生的散射波进行超视距通信的传播模式。适用于超短波段,通信距离可达数百公里。

对流层视距传播

在低层大气中,利用直射波的传播模式,可分为广播通信和点对点通信两类。在大气折射率随高度增加而减小的正常分布情况下,直射波的传播途径向下弯曲,地球等效半径大于实际半径。当大气折射率在某高度区间出现随高度增加而增大的异常分布时,就会形成大气波导,使传播衰减远远小于正常的自由空间衰减值,短于厘米波段的直射波还会因为雨、雪、云、雾的吸收,雨滴的去极化和不均匀气团的散射,而受到影响。在收、发天线间不存在反射波屏蔽时,必须考虑地面反射波的影响。视距传播是超短波段和微波段的主要传播模式。用于广播通信和移动通信的传播距离一般可达60公里,用于微波接力通信的传播距离一般在50公里左右。

绕射传播

利用沿地壳表面的绕射波的传播模式。适用于短波通信,也常用于广播和移动通信。

地空传播

无线电波穿透电离层的直射传播模式。电波穿过电离层会受到衰落、吸收、方向变化、传播时延、频率变化和极化面转动等的影响,这些影响随频率升高而迅速减弱。千兆赫以上的无线电波在穿过大气层时,受到氧分子和水分子吸收。在频率为60GHz处出现氧分子吸收峰值。水分子吸收则从频率为 15GHz才开始显著,并在频率为23GHz处出现一个吸收峰值。由于10MHz~20GHz的电波在自由空间传播所受的衰减影响较小,这个频率范围就形成一个无线电波的大气窗口,适于地空传播,是卫星通信、空间通信的唯一传播模式。