集团展开

即通过计算配分函数求得级数形式的物态方程,用以描述实际气体的一个常用的有效方法。这种方法是由H.D.乌泽耳以及J.E.迈尔夫妇等人建立和发展起来的,它适用于温度不太低或密度不太高的气体系统。

运用集团展开的方法,可把实际气体的压强p展成密度ρ的幂级数,而幂级数的各个系数用位形空间中的某些积分来表示。

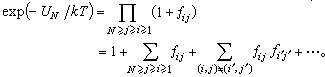
对于粒子间存在相互作用的系统,使用统计方法时最主要的是要计算巨配分函数 中的位形积分

式中称为经典易逸度,μ化学势kh分别是玻耳兹曼常数和普朗克常数,T热力学温度,UNN个粒子系统的总势能,uij是两个粒子之间的相互作用势能。当粒子之间的距离rij时,uij更快地趋于零,而exp(-uij/kT)则变为1。

引入迈尔函数fij

fijf(rij)=exp(-uij/kT)-1,

可得:

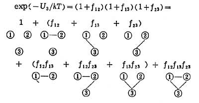
式中包含了很多项,非常繁复,采用图示法讨论较方便:用圆圈中加数字表示某个粒子,无直线联结的就表示数值1,两圆圈连一直线就表示fij因子,与若干直线对应的是若干个因子fij的积。

例如当N=3时,exp(-U3/kT)的图示法是

图

对于N个粒子,把相应的乘积开展,会有许多项。在N个点之间不论用直线或不用直线相联,都称为一个图形,exp(-UN/kT)的展开式中的每一项都可以画出相应的图形。在图形中任一点同其他点有直接或间接直线相联的就为一集团。这样,每个集团对应于因子积。每个图形由一个集团或若干个集团组成。exp(-UN/kT)展开式中的每一项都对应于把代表N个粒子的N个点以一定方式分组为若干个集团,若在某种分组中,一个点的集团有m1个,二个点的集团有m2个,…l个点的集团有ml个等等,所有这些ml应满足关系

于是,exp(-UN/kT)是同所有满足此式的分组所对应的图形的和。由于各个 l个点的集团中联线不同,因此每个exp(-Ul/kT)中还包含若干项,它可表示为同时每个exp(-Ul/kT)对Л个粒子坐标的积分是相同的。由于每一Л点的集团中的Л个粒子可从N个粒子中任选,排列组合满足上式的固定一套{ml}分组的分法共有

种。因此,若定义集团积分bl

则可求在固定一套分组{ml}下,对位形积分的贡献:

而得到:

可见,在研究非理想气体时,可把p/kT按粒子数密度ρ展成级数,其中各个系数称为各级维里系数。这个方法同样可以运用于粒子间相互作用多于两体的情形。

此外,B.卡恩和G.E.乌伦贝克建立了量子统计力学的集团展开法。

参考书目
  1. J.梅逸、M.G.梅逸著,陈成琳等译:《统计力学》,高等教育出版社,北京,1957。(J.Mayer and M.G.Mayer,Statistical Mechanics,Wiley, New York,1946.)
  2. Kerson Huang,Statistical Mechanics, John Wiley & Sons,New York, London,1963.