[拼音]:kaiˊerwen zui xiao nengliang dingli
[外文]:Kelvinˊs minimum energy theorem
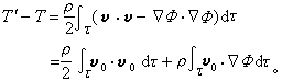
流体力学中有关不可压缩无粘性流体运动的一个定理。内容是:若在单联通区域τ的边界S上,无旋运动和有旋运动具有相同的法向速度,则无旋运动的动能(见能)恒小于有旋运动的动能。此定理可证明如下:令有旋运动和无旋运动的速度矢量和动能分别为v、T┡和墷Ф、T,并设v0=v-墷Ф。显然v0不恒等于零,否则有旋运动和无旋运动恒同,这是不可能的。根据定理的假设,在边界S上有v0·n=0,其中n为边界S的法向单位矢量。根据连续性方程有墷·v0=0。显然下式成立:
因为墷·v0=0,所以v0·墷Ф=墷·(Фv0),对上式中第二个积分应用高斯定理并考虑到在边界S上v0·n=0,得:
。
注意到v0不恒等于零,上式中第一个积分是一个不等于零的正数。由此得到开尔文最小能量定理的结论:T┡>T。
开尔文最小能量定理揭示,在定理所作的假设下,无旋运动由于具有最小能量因而成为最优的运动形态,从而加深了对无旋运动特性的了解。