硅氧烷

含有 公式 符号结构的有机硅化合物。简单的硅氧烷如下。

公式 符号

聚硅氧烷是由许多含公式 符号键的单体聚合成的链状、环状或网状的高分子化合物,通常称为硅酮。它的结构特点是含有一个硅、氧原子交替排列的基本骨架,每个硅原子上都连着有机基团。聚硅氧烷中的硅氧键具有高稳定性。在商品硅酮中,有机基团是甲基、较长的烷基、氟代烷基、苯基、乙烯基和一些其他基团。最简单的聚二甲基硅氧烷结构如下。

公式 符号

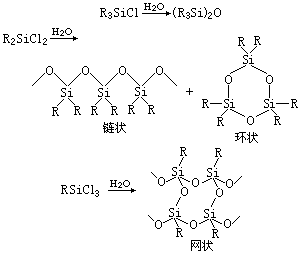
硅氧烷和聚硅氧烷可由有机卤化硅烷水解而制得。二氯硅烷形成硅氧骨架的线形链或环状链,三氯硅烷使直链交联成网状结构(R为烷基):

公式 符号

单氯硅烷是链的终止剂。

聚硅氧烷的种类很多,按产品的化学结构和性能主要分为三类:

(1)硅油,为低分子量线型结构聚合物。无色或浅黄色透明液体,具有高的沸点和低的凝固点,对热分解和对水或氧化剂特别稳定;可用作液压油、高级润滑油表面处理剂和破乳剂,也可用作纺织物、纸和其他许多物质的防水剂,是良好的电绝缘体。

(2)硅橡胶,是分子量很大的线型结构聚合物。经加填料、硫化后,可得弹性体,即硅橡胶。硅橡胶具有电绝缘性、化学稳定性、生理惰性和在广泛温度范围内保持良好的弹性等特点;主要用于制造在高温或低温下使用的橡胶制品和整形术中需要的人造器官。

(3)硅酮树脂,是含有活性基团,可进一步固化的线型结构聚合物。可制耐热的高级电绝缘漆(硅漆)、耐热塑料(硅塑料)、层压玻璃布和保护涂层等。