[拼音]:pianweifen fangcheng bianzhi wenti chafefangfa
[外文]:finite difference method for boundary value problem of partial differential equation
物理学中的平衡态或定常态问题,例如弹性膜的平衡、弹性柱的扭转、定常态热传导、电场、磁场、渗流、亚声速流及不可压缩无旋流等等,通常都可归结为椭圆型偏微分方程边值问题。典型例子是泊松方程
(1)
的边值问题。即要求定出未知函数u=u(x,y),使之在某个区域Ω内满足(1),
并在区域边界嬠Ω上满足一定的边界条件,通常有如下三类:
第一类: u=φ,
第二类:
第三类:
式中
表示外法向导数,φ、g和α是定义在嬠Ω上的已知函数。附加第一类和第二类边界条件的问题分别称为狄利克雷问题和冯·诺伊曼问题;有些问题在边界不同区段满足不同类的边界条件,称为混合边值问题。
椭圆型边值问题的求解,只在很特殊情况下才能用解析方法,一般情况下实际有效的途径是数值方法,差分法是其中一类。
差分法的思想和做法是,把定解区域剖分为网格,在网格结点上以差商代替微商或用某种插值方式,把微分方程化为包含有限个未知数的差分方程组。差分法直观、简易、能普遍用于各种类型的微分方程和任意形状的区域。因为它包含巨大的运算量,所以只在电子计算机问世之后,才得到广泛的应用和发展。
从微分方程出发的差分化网格剖分的一种最简单又常用的做法是取平行于坐标轴的直线作为网格线,例如取x=ih,y=jl,h、l为步长,i、j取一切整数,这时网格结点为(ih,ji)。对方程(1)进行差分化、以U
表示差分近似解、Uij表示U在网格结点(ih,jl)上的分量。如果(ih,jl)是内结点,即邻近四个网格结点都在Ω上,则用中心二阶差商代替二阶微商代入(1),即得相应的差分方程
(2)
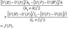
对第一类边值问题,如果边界结点正好落在嬠Ω上,则取相应的边界值即可。一般的情况如图 1
所示,
嬠Ω与网格线交于N和E,于是靠近边界的结点P可利用偏心差商建立差分方程:
式中U(N)、U(E)取边界值,h1,l1是线段PE、PN 的长度。
对第二、第三类边值问题,可取Ω外最靠近嬠Ω的一层网格结点为边界结点,相应的差分方程可建立如下:设边界结点P及其邻近的边界如图2
所示,
过结点P作嬠Ω的法线,它与嬠Ω和网格线分别交于F和Q,用差商
代替F的外法向导数
,其中U(Q)利用网格结点W和E上的值作线性插值,即
,
代入第二类、第三类边界条件,就得到边界结点P的差分方程。
还可以用其他插值方法作边界处理。但是,这种对微分方程及其边界条件分开处理的方法,对自共轭边值问题,包括现在讨论的最简单的典型例子,所得差分方程组的系数矩阵一般都不具有对称性。
从积分守恒原理出发的差分化与平衡态或定常态紧密联系的椭圆型边值问题,在物理上表示某种守恒规律,在数学上表现为某种积分守恒形式。例如与方程(1)等价的积分守恒形式为
(3)
式中D
是区域Ω的任一子区域。假设定解区域Ω为多边形,对Ω作任意三角剖分,然后过三角形的边作中垂线,如图3中的虚线所示。对应每个网格结点,都存在一个以中垂线为边的多边形。若以每个这样的多边形作为(3)中的积分区域D,建立网格结点的差分方程。若P是内结点,对应的D如图4所示,则(3)中左端的环路积分可作如下逼近:
(4)
若P是边界结点,对应的D如图5
所示,其中线段PA与PB落在边界嬠Ω上,这时有
(5)
对于(5)中的
可用第二、第三类边界条件代入。对于第一类边界条件,
须作某种插值处理。
对(3)的右端,作逼近
(6)
上述各式中的|·|表示线段的长度或区域的面积。把(4)、(5)、(6)的逼近公式代入(3),就得到差分方程组。对第二、第三类边值问题,这种差分化途径在处理上统一,所得差分方程组的系数矩阵具有对称性。
从变分原理出发的差分化平衡态或定常态的物理问题,往往可用变分原理表达,即表示为一个极小值问题。例如微分方程(1)的第一边值问题,就等价于泛函
(7)
在满足第一类边界条件的容许函数集上的极小解问题。对于第二、第三类边值问题,对应的泛函为
, (8)
而容许函数不必满足任何边界条件,第二、第三类边界条件是极小解u自然满足的。因此,也称之为自然边界或自由边界问题。
从变分原理出发进行差分化,其步骤是先对区域Ω作网格剖分,然后对积分(7)或(8)进行差分逼近,得到一个有限和式,它是定义在网格结点上的差分解的二次函数,它的极小解可归结为解线性方程组,此方程组的系数矩阵恒具有对称性。
差分方程组的求解随着差分法的实际应用,产生了在计算机上求解高阶稀疏矩阵问题的种种方法,其中最简单而且常用的是点松弛法。对代数方程组
点松弛法的一般迭代格式是
n是迭代序号,
是任意给定的初始值,ω是迭代参数。当系数矩阵对称正定时,取0<ω<2,则迭代恒收敛。当ω=1时,称高斯-赛德尔迭代;当ω>1时,称超松弛。对于五点格式的差分方程组(2),存在一个最优的迭代参数
>1, 与 ω =1相比, 达到同样精度的运算量从O(N 2)阶降为O(N 3/2)阶,N是网格点的总数。
差分方程组的求解,还有各种直接法和其他迭代法。直接法大多是高斯消去法的变形,其中心问题是如何采取适当的消去顺序,使得在不影响解的精度的前提下,尽可能在运算量、存贮量及程序复杂性等方面得到好处或达到某种平衡。在迭代法方面,则还有切比雪夫迭代和共轭斜量法,它们也常作为加速手段与点松弛法结合使用。对于特殊形状区域(如矩形域),则有高效的快速傅里叶变换方法和交替方向法。特别引人注目的是近年发展起来的多重网格法,其运量可达到O(N)阶。