方波极谱法

在通常的、缓慢改变的直流电压上面,叠加上一个低频率、小振幅(≤50毫伏)的方形波电压,并在方波电压改变方向前的一瞬间记录通过电解池的交流电流成分的极谱法和伏安法,是电化学分析法之一,也是目前极谱法中灵敏度较高者。在合适的情况下,测定的最低浓度可达10-7Μ,个别离子的检出限可达10-3Μ。

1952年G.C.巴克首先提出方波极谱电流的理论,并设计了电子管方波极谱仪。中国极谱分析工作者也设计了振动子方波极谱仪和895型机械方波极谱仪。

极谱电流

方波极谱之所以有很高的灵敏度,是由于它在充电电流消失的时刻记录电流,因而极谱电流中没有充电电流,可以通过放大电流来提高测定的灵敏度。

在图1中,

图

曲线1为方波电压,其半周期为τ。由于方波电压的频率较低,τ的数值远大于电解池和线路中的电阻R 和双电层电容C所组成的时间常数RC。曲线2为充电电流随时间变化的情况,滴汞电极双电层的充电电流随时间的变化遵守以下公式:

公式 符号

式中ΔE为方波电压的幅度。虽然ic的初始值较大,但只要电极回路的电阻小并采用小的滴汞量,就可以得到小的时间常数,其值远小于τ,使充电电流很快衰减至零。曲线3为电解电流iet的关系,它遵守平面电极上的极限扩散电流公式:

公式 符号

式中n为电极过程的电子转移数;F法拉第常数;A为电极面积;D 为扩散系数;C*为摩尔浓度。由此式可见,iet-┩衰减,要比ic的衰减慢得多。选择合适的时间记录电流,可让ic衰减至零,只记录ie,可消除或大大减少充电电流的影响(曲线4)。

方波极谱波

它具有电流峰的形式(图2)。

图

对可逆电极反应来说:

O+ne公式 符号R

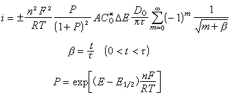
式中O为氧化态;R为还原态,电解前溶液中只有氧,其浓度为C奵,O和R都溶在溶液或汞中。方波极谱电流i遵守巴克方程式:

公式 符号

式中E┩为半波电位;C奵为主体溶液中氧化态的摩尔浓度;m表示在记录电流时,已经过去的时间为-mτ

P=1时,EE┩、电流为最大值:

公式 符号

如果电极反应是不可逆的,电流公式就更加复杂,imax的值远小于公式中所表示的数值,有时可降低为1/20。

图 优缺点

优点有:

(1)灵敏度较高;

(2)分辨力好,例如可将In3+波和Cd2+波分开(图2 );

(3)前极化电流的影响较小。用方波极谱测定金属离子时,允许以下比例:

公式 符号

因此,可在不分离Fe3+的情况下直接测定钢铁样品中的铜、铅、锡,提高测定速度。

缺点有:

(1)对于不可逆波,灵敏度不很高;

(2)为了减小时间常数,要求被测溶液的内阻不大于50欧,因而要求支持电解质有较高的浓度,一般不低于0.2Μ,这就要求试剂具有特别高的纯度;

(3)毛细管噪声电流阻止进一步提高灵敏度。噪声电流产生的原因是:由于汞滴的下滴引起毛细管内汞的突然收缩,使电解液进入毛细管的内壁,在内壁与汞线之间形成一层薄膜,当滴汞电极的电压突然改变时,由于汞线表面充电而产生的微小电流是按t-n(n>1/2)衰减的,正好介于充电电流和电解电流之间,方波极谱的半周期比较短(通常为几毫秒),没有足够的时间让它衰减至零,在灵敏度比较高的时候,它就暴露出来,形成方波极谱的背景电流,称为毛细管噪声电流。