多碱

通过羟桥或氧桥形成的以弱碱性金属离子为中心的双核或多核配合物(见配位化合物),例如:

公式 符号

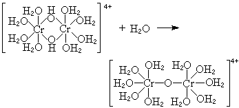
这是两个铬通过一个羟桥相联形成的双碱。此外也有以两个、三个羟桥相联形成的双碱:

公式 符号

进一步的羟联作用,可将更多的金属离子联结起来形成多碱。加热、增高pH或放置陈化时,羟桥可转变为氧桥:

公式 符号

有些刚刚沉淀的氢氧化物加酸即可溶解,当放置一段时间或加热后再加酸则不溶,就是因为形成了氧桥化合物。高电荷、小体积的阳离子容易形成多碱。二价和二价以上的金属离子,除少数外,都能形成多碱。

多碱的形成开始是水合金属离子的酸电离作用,接着为聚合作用。第一步很快,第二步包括断裂M-OH2键(M为金属原子),在两个或两个以上金属离子间生成羟桥,要慢得多。随着溶液pH值的增加和温度的增高,聚合作用的倾向也增强,最后可形成胶体、晶体高聚羟化物或水合氧化物。金属离子的浓度也影响聚合作用,浓度愈高,生成的多核羟合物愈多。按照形成多碱的情况,其聚合度有定数和无定数两种。前者如Be2+ 离子,可生成Be2(OH)3+和 Be3(OH)庂,Sn2+ 离子可生成Sn2(OH)卂和Sn3(OH)嵆等一、二种多碱;后者如Sc3+、Th4+和Sb5+等高电荷离子,它们可生成二核、三核以及聚合度更高的羟合离子,例如Sc3(OH)忴、Th6(OH)惈和Sb12(OH)彏等。

多碱的生成是无机化学中一个重要而普遍的现象,在理论上和实用上均有很大的意义。高价金属元素如铝、铁、铬、钍、铀、钛、锆等极易水解形成多碱,简单离子只在高酸度溶液中存在。它们的提取、分离和利用,均与多碱的性质有关,例如皮革工业中的铬鞣法,要使铬(Ⅲ)呈多碱状态才能鞣革。

参考书目
  1. 戴安邦主编:《配位化学》(无机化学丛书),科学出版社,北京,1987。