[拼音]:feixianxing fangchengzu shuzhi jiefa
[外文]:numerical method of system of nonlinear equation
n个变量n个方程(n >1)的方程组表示为
(1)
式中ƒi(x1,x2,…,xn)是定义在n维欧氏空间Rn 的开域D上的实函数。若ƒi中至少有一个非线性函数,则称(1)为非线性方程组。在Rn 中记
ƒ=
则(1)简写为ƒ(尣)=0。若存在尣*∈D,使ƒ(尣*)=0,则称尣*为非线性方程组的解。方程组(1)可能有一个解或多个解,也可能有无穷多解或无解。对非线性方程组解的存在性的研究远不如线性方程组那样成熟,现有的解法也不象线性方程组那样有效。除极特殊的方程外,一般不能用直接方法求得精确解,目前主要采用迭代法求近似解。根据不同思想构造收敛于解尣*的迭代序列{尣k}(k=0,1,…),即可得到求解非线性方程组的各种迭代法,其中最著名的是牛顿法。
牛顿法及其变形
牛顿法基本思想是将非线性问题逐步线性化而形成如下迭代程序:
(2)
式中
是ƒ(尣k)的雅可比矩阵,尣0是方程(1)的解尣*的初始近似。
这个程序至少具有2阶收敛速度。由尣k算到尣k+的步骤为:
(1)由尣k算出ƒ(尣k)及
;
(2)用直接法求线性方程组
的解Δ尣k;
(3)求
。
由此看到迭代一次需计算n个分量函数值和 n2个分量偏导数值,并求解一次n阶线性方程组。
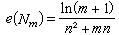
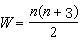
为了评价非线性方程组不同迭代法的优劣,通常用效率
作为衡量标准,其中P为迭代法的收敛阶,W为每迭代步计算函数值ƒi及偏导数值
的总个数(每迭代步中求一次逆的工作量相同,均不算在W 内)。效率e越大表示此迭代法花费代价越小,根据效率定义,牛顿法(2)的效率为
。
牛顿法有很多变形,如当
奇异或严重病态时,可引进阻尼因子λk,得到阻尼牛顿法,即
式中I是单位矩阵。牛顿法是局部收敛方法,因而对初始近似尣0限制较严,为放宽对尣0的要求,扩大收敛范围,通常可引进松弛因子ωk,得到牛顿下降法:
(3)
式中ωk的选择应使
成立。
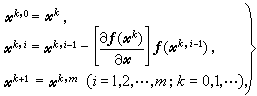
为减少解线性方程组次数,提高效率,可使用修正牛顿程序
(4)
这种算法也称为萨马斯基技巧,它的收敛阶为 p =m+1,由尣k 计算
的工作量为W =n2+mn,于是该法的效率
。当n=10,m=7时,
当n=100,m=37时,
,由此看到修正牛顿法(4)比牛顿法效率高,且m 越大效果越明显。
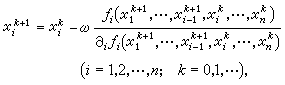
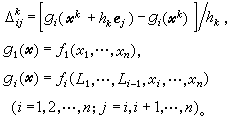
在计算机上往往采用不计算偏导数的离散牛顿法,即
(5)
式中
,
其中ej为基向量,
,若取
,则(5)仍具有2阶收敛速度。其效率与牛顿法相同。
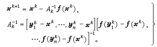
若在牛顿法(2)中解线性方程组不用直接法,而采用迭代法则得到一类解非线性方程组的双重迭代法。按解线性方程组采用的方法不同就得到不同名称的迭代法,如牛顿-赛德尔迭代法,牛顿-SOR迭代法,牛顿-ADI迭代法,等等。这些方法都具有超线性收敛速度,工作量也比牛顿法大,除了对某些特殊稀疏方程组外,通常用得校少。若将解线性方程组迭代法的思想直接用于非线性方程组(1),然后把(1)化为一维方程求解,可得到另一类双重迭代法,由于采用的迭代法与解一维非线性方程的方法不同,则得到不同的双重迭代法。如果利用SOR迭代法后再用牛顿法解一维方程则得SOR-牛顿迭代法,在牛顿法中只计算一步而不进行迭代,则得一步的SOR-牛顿迭代,其计算公式可表示为
式中记号嬠iƒi表示
;ω为迭代参数,当ω=1时就是赛德尔-牛顿迭代法,这类方法对解维数高的稀疏的非线性方程组是有效的。
割线法
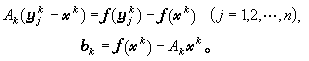
若对方程组 (1)线性化时使用插值方法确定线性方程组
(6)
中的Ak和bk,则可得到一类称为割线法的迭代序列。假定已知第k步近似尣k,为确定Ak和bk,可在尣k附近取n个辅助点у忋(j=1,2,…,n),使n个向量
线性无关,由插值条件可知
由此可求得
由(6)解得
以此作为方程 (1)的新近似,记作
,于是得到
(7)
(7)称为解非线性方程组的割线法。辅助点у忋 取得不同就得到不同的割线法程序,例如取

为常数(j=1,2,…,n),就得到与(5)相同的程序,由于它只依赖于尣k点的信息,故也称一点割线法,若取
它依赖于点尣k及
, 称为两点割线法。其他多点割线法由于稳定性差,使用较少。
布朗方法
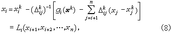
布朗采用对每个分量方程 ƒi(尣)=0逐个进行线性化并逐个消元的步骤,即在每迭代步中用三角分解求线性方程组的解,得到了一个效率比牛顿法提高近一倍的迭代法,即
式中
(8)中当i=n时求得xn记作
,再逐次回代,求出
(i=n-1,n-2,…,1)就完成了一个迭代步。布朗迭代程序的敛速仍保持p=2,而每一迭代步的工作量
,故效率
对这方法还可与牛顿法一样进行改进,得到一些效率更高的算法。这类方法是70年代以来数值软件包中常用的求解非线性方程组的算法。
拟牛顿法
为减少牛顿法的计算量,避免计算雅可比矩阵及其逆,60年代中期出现了一类称为拟牛顿法的新算法,它有不同的形式,常用的一类是秩1的拟牛顿法,其中不求逆的程序为
式中
,
,
,称为逆拟牛顿公式。计算时先给出尣0及 B0,由(9)逐步迭代到满足精度要求为止。每步只算 n个分量函数值及O(n2)的计算量,比牛顿法一步计算量少得多。理论上已证明,当尣0及B0选得合适时,它具有超线性收敛速度,但实践表明效率并不高于牛顿法,理论上尚无严格证明。
最优化方法
求方程组 (1)的问题等价于求目标函数为
的极小问题,因此可用无约束最优化方法求问题(1)的解(见无约束优化方法)。
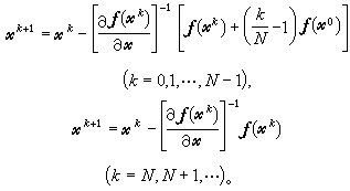
连续法
又称嵌入法,它可以从任意初值出发求得方程组(1)的一个足够好的近似解,是一种求出好的迭代初值的方法。连续法的基本思想是引入参数 t∈[0,b],构造算子H(尣,t),使它满足条件:H(尣,0)=ƒ0(尣),H(尣,b)=ƒ(尣),其中ƒ0(尣)=0的解尣0是已知,方程:
(10)
在t∈[0,b]上有解尣=尣(t),则尣(b)=尣*就是方程(1)的解。当b有限时,通常取b=1,例如可构造。
(11)
这里尣0是任意初值,显然H(尣0,0)=0,H(尣,1)=ƒ(尣)。为了求得(10)在t=1的解尣*=尣(1),可取分点0=t0<t1<…<tN=1在每个分点ti(i=1,2,…,N)上,求方程组
H(尣,ti)=0 (i=1,2,…,N) (12)
的解尣i,如果取尣i-1为初值,只要
足够小,牛顿迭代就收敛,但这样做工作量较大。已经证明,如果方程组(12)只用一步牛顿法,当t=tN=1时,再用牛顿迭代,结果仍具有2阶收敛速度。以(11)为例,得到连续法的程序为:
若H(尣,t)的偏导数Ht(尣,t)及
在D×[0,1]嶅R
上连续。且
非奇异,则由(10)对t求导可得到等价的微分方程初值问题:
(13)
于是求方程(10)的解就等价于求常微初值问题(13)的解,求(13)的解可用数值方法由t=0计算到t=tN=b得到数值解
。已经证明只要N足够大,以尣N为初值再进行牛顿迭代可收敛到方程(1)的解x*,这种算法称为参数微分法。
20世纪60年代中期以后,发展了两种求解非线性方程组(1)的新方法。一种称为区间迭代法或称区间牛顿法,它用区间变量代替点变量进行区间迭代,每迭代一步都可判断在所给区间解的存在惟一性或者是无解。这是区间迭代法的主要优点,其缺点是计算量大。另一种方法称为不动点算法或称单纯形法,它对求解域进行单纯形剖分,对剖分的顶点给一种恰当标号,并用一种有规则的搜索方法找到全标号单纯形,从而得到方程(1)的近似解。这种方法优点是,不要求ƒ(尣)的导数存在,也不用求逆,且具有大范围收敛性,缺点是计算量大。
- 参考书目
- J.M.Ortega and W.G.Rheinboldt,Iterative Solution of Nonlinear Equations in Several variables,Academic Press,New York,1970.