应力函数和位移函数

弹性力学中,为方便求解,常把应力或位移用几个任意的或某种特殊类型的函数表示,这些函数通常叫作应力函数或位移函数。

应力函数

最有名的应力函数是弹性力学平面问题中的艾里应力函数。如果没有体力,平面中的三个应力分量σxxσyyτxy满足下列方程:

公式 符号。   (1)

根据方程(1),可将应力分量用一个函数φx,y)表示为:

公式 符号。   (2)

φ便是艾里应力函数。对于均匀和各向同性的物体,φ是一个双调和函数,即它满足下列双调和方程:

ΔΔφ=0,           (3)

式中公式 符号是平面的拉普拉斯算符。引入φ后,平面问题原来的8个未知函数(两个位移分量、三个应变分量和三个应力分量σxxσyyτxy就归结为一个函数φ。这对求解具体问题很有好处。

在弹性柱体的扭转问题中,剪应力分量τxzτyz满足下列平衡方程:

公式 符号。        (4)

据此可将τxzτyz用一个函数Ψ(x,y)表示为:

公式 符号。       (5)

Ψ称为普朗特应力函数。对于均匀和各向同性的柱体,Ψ满足下列方程:

ΔΨ=-2,         (6)

式中G为材料的剪切模量(见材料的力学性能);θ为单位长度的扭转角。

位移函数

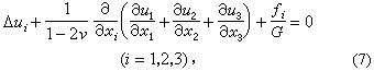
在求解弹性力学的空间问题时,也可以用六个应力函数代替原来的六个应力分量,但好处不多。所以,一般多采用各种位移函数。对于均匀和各向同性弹性体,位移分量u1u2u3满足下列平衡方程:

公式 符号

式中公式 符号是空间中的拉普拉斯算符;ν为材料的泊松比;G为剪切模量;┃i为体力分量。方程(7)的解可以表达成多种形式。一种形式为:

公式 符号

式中ψ1ψ2ψ3四个函数满足下列方程:

公式 符号 。 (9)

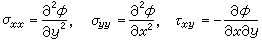
函数ψ1ψ2ψ3称为布森涅斯克-帕普科维奇-纽勃位移函数。 弹性力学中许多空间问题的解都是从公式(8)推导出来的。

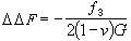
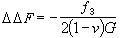
方程(7)还有另一种形式的解,即

公式 符号

式中Fi满足下列方程:

公式 符号。      (11)

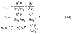
函数F1F2F3称为布森涅斯克-索米利亚纳-伽辽金位移函数。对于回转体的轴对称问题,公式(10)可作许多简化。取对称轴为z轴(x3轴),记r为所考虑点到z轴的距离,并记位移在rz轴上的投影分别为uω。若┃1=┃2=0,可取F1=F2=0,F3=F(rz)。这样,由公式(10)可得到:

公式 符号 ,    (12)

式中公式 符号,即柱坐标中的拉普拉斯算符;F满足下列方程:

公式 符号。        (13)

公式(12)中的函数F称为乐甫位移函数。 在求解轴对称问题时,经常利用公式(12)。

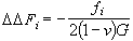
在┃1=┃2=0的情况下,即使不是轴对称问题,方程(7)的解也可用一组位移函数F、┃表示如下:

公式 符号

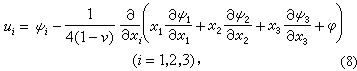
式中F、┃满足下列方程:

公式 符号, Δ┃=0。   (15)

这组位移函数特别适用于求解无限体、半无限体和厚板等问题。