[拼音]:gaofenzi jiaolian jiegou
[外文]:structure of crosslinked macromolecules
线型高分子之间通过化学键相连接称为交联,高度交联可形成网状结构或交联结构,如图1
之a所示,横线 A、B、C、D、E、F分别代表线型高分子,竖线代表化学交联键。若这些交联键长度比交联点之间的长度小的多,则可近似地看作点,称为交联点(图1之b)。
高度交联后,整个网状链变成一个大分子,具有不溶,不熔的性质,所以加工成型只能在形成交联结构之前,一旦形成了交联结构,就不能流动了。例如橡胶在未经交联(硫化)之前,受力后即产生形变,除去外力后形变不能恢复,即发生了流动。橡胶必须经过硫化交联,使线型分子链成为网状结构,分子链之间才不能滑动,具有可逆高弹性形变,变成具有实用价值的橡皮。
交联结构包括交联点结构(即交联键结构)和交联点在整个交联高分子链上的密度和分布。交联点结构取决于交联反应,例如由丁烯二酸或邻苯二甲酸与乙二醇制成的不饱和聚酯加入烯类单体(如苯乙烯)交联固化后,交联键的化学结构是:
橡胶硫化后生成的交联键结构如下:
交联键包括单硫键、双硫键、多硫键等。交联点的一个重要结构参数是交联点官能度,即此交联点与几个分子链相联结。
交联密度交联点在整个交联链上的密度表征交联程度,通常以交联密度q或两个相邻交联点之间的数均分子量嚔c来表示。交联密度的定义为交联链的总单体单元数N中交联单元数Nc所占的分数,即
。当交联点官能度为4时,可以得出:
式中嚔n是交联前线型高分子链的数均分子量,Μ1是单体的分子量。
测定交联度的实验方法(1)力学方法,将经溶剂溶胀的交联聚合物做成圆柱形试样进行单轴压缩实验,从外加力F和试样高度改变Δh的数据可以计算嚔c:
式中ρ为聚合物密度;AO、hO分别为试样压缩前的截面积和高度;R为气体常数;T为绝对温度。
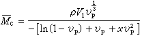
(2)平衡溶胀比法,交联高聚物试样在良溶剂中达到溶胀平衡时的体积与溶胀前体积之比与交联度有关,交联度愈大,溶胀比愈小,从溶胀平衡的热力学理论可以得出:
式中
为平衡溶胀比;ρ为交联聚合物的密度;V1为溶剂的摩尔体积;x为高分子-溶剂相互作用参数,它可从稀溶液性质得出。由于x值并不都是已知的,在工业测试中常用vp值来表征交联度。