[拼音]:tanxing lixue guangyi bianfen yuanli
[外文]:generalized variational principles in theory of elasticity
弹性力学最小势能原理和弹性力学最小余能原理的推广,其特点是,变分式中各量都可有独立的变分,并且事前不受任何限制。在弹性力学空间问题中,最一般的广义变分原理可叙述为:弹性力学空间问题的解必须满足弹性体的广义势能变分为零的条件,该条件又称为驻值条件,即
δ∏3=0, (1)
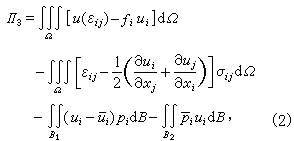
式中∏3为弹性体的三类变量广义势能,其表达式为:
式中u(εij)为应变能密度;εij为应变分量;fi为体积力分量;ui为位移分量;σij为应力分量;pi为面力分量;Ω为弹性体所占的空间;B1为位移边界面;B2为受力边界面;ūi和圴i为边界上给定的位移分量和面力分量;dB为面积微元;式中重复下标表示约定求和。在变分式(1)中,ui、εij、σij等15个函数都可有独立的变分,并且事前没有任何附加条件(表面力pi看作是从属于应力σij的量)。从条件(1)可推出弹性力学的全部基本方程,包括应变-位移关系、应力-应变关系、平衡方程和边界条件。上述变分原理的独立变量有位移、应变、应力三类,因此称为三类变量广义变分原理。它是中国力学家胡海昌于1954年首先提出的,日本的鹫津久一郎于1955年也独立地得到这一原理,所以又称胡-鹫津原理。
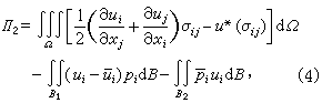
弹性力学广义变分原理有一种稍弱的形式,即二类变量广义变分原理,又称为赫林格-瑞斯纳原理。它由E.赫林格于1914年和E.瑞斯纳于1950年分别独立提出,其数学表达式为:
δ∏2=0, (3)
式中
式中u*(σij)为余能密度。∏2中的独立自变函数有ui和σij两类共九个。将应变-位移关系代入式(2),消去εij,就可以得到式(4)。 因此二类变量广义变分原理是三类变量广义变分原理的一个特殊情况。
在有限元法和工程弹性理论中,广义变分原理有广泛的应用。例如,在板壳弯曲的有限元计算中,用它处理变形的不协调性,可得到较好的结果。对于解决几何非线性问题,胡-鹫津原理是一个有力的工具。在工程弹性理论中,广义变分原理可用于推导各种近似理论;在弹性振动和稳定理论中,可用于求固有频率和临界载荷,并能获得较好的结果。