可跟踪抛物面射电望远镜

主反射面为抛物面、能绕两个互相垂直的轴转动以使电轴指向不同方位和高度、跟踪射电源周日运动的射电望远镜。它有最简单的同光学反射望远镜相似的收集电波的方式,并具有通用性、宽波段性和方向图形的对称性,能迅速改变方向和长时间跟踪天体,同时具有噪声温度很低、结构简单等基本优点。它是射电天文中使用最广的望远镜,也是现代多种形式射电望远镜中最基本的组成单元。

抛物面孔径一般为轴对称的圆孔径,少数取椭圆孔径,因此,方向束为“铅笔”状。方向图的细节特征则由馈源对孔径的“照明”决定(这里按天线工程的习惯,借用了发射天线的名称。对于发射天线,发射波由焦点上的馈源馈给抛物面的各个部分,称为对抛物面的照明)。孔径照明有两种类型:一种是单反射面方式,将馈源(如喇叭、振子等)放在抛物面焦点处,以接收经抛物面反射的来自某个方向的电波(图1a);另一种是双反射面方式,将第二反射面(副面)置于主反射面的焦点附近。通常所用副面或为一小双曲面──卡塞格林系统(图1b),或为一小椭球面──格雷果里系统(图1c)。双反射面系统的主要优点是,易于建立均匀孔径照明,提高孔径效率和降低溢损(照明的功率“溢”出孔径范围之外,称为溢损),并可降低与溢损及传输损耗相关联的天线温度

图1

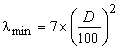
抛物面射电望远镜的分辨率和灵敏度都与反射面直径D密切相关。但仅仅增大D,并不能改善望远镜的性能,因为同一反射面的效率因工作波长而异。主反射面和理想抛物面的中值公差σ ,对波长为λ时的孔径效率η 的影响,可用鲁兹公式表示:

通常规定,以孔径效率降为其无公差(σ =0)极限值η0的一半的波长λmin为该望远镜的最短工作波长,即λmin≈16σ。实际应用上常以比值D/σ 来表征抛物面天线的相对精度。目前最好的可跟踪抛物面射电望远镜的相对精度已达到105量级,最高分辨率已达到1″量级。

重力弯沉、结构各部分温差及风荷所引起的形变都是设计和制造大型精密可跟踪射电望远镜的主要限制。前者对天线影响更大,而且随天线俯仰角的变化而变化。对于最短工作波长为 λmin(厘米)的钢结构可跟踪抛物面射电望远镜,因重力弯沉所限制的最大可能直径D(米),可用近似模型推算的公式:

来估计。现已研究出用主动和被动伺服系统来控制反射面的重力弯沉,对一些大型或精密的可跟踪抛物面射电望远镜成功地采用了保形设计。通过这种合理的设计来控制重力弯沉,可使表面在不同仰角都保持抛物面形状。反射面焦点的改变,可通过伺服系统调节馈源或二次反射面位置得到补偿,从而大大提高了望远镜的D/σ 值,这就突破了重力弯沉的限制。有的毫米波和短厘米波的精密可跟踪射电望远镜,装在对射电波透明的圆罩内,以避免风荷和太阳直接照射下各部分较大温差引起的形变,并且采用轻质结构材料,以减小重力弯沉。

可跟踪抛物面射电望远镜的机械和驱动装置,应保证必要的指向精度和跟踪精度。指向误差 Δφ 必须是望远镜半功率方向束宽θ 的一小部分,一般取Δφθ/10,最大也不应超过θ/6。望远镜驱动装置分赤道式和地平式两种。赤道式装置(图2a)的一轴与地轴平行,另一轴与之垂直,跟踪源作周日运动时,后者绕前者以恒定角速度旋转,抵消地球自转,使望远镜保持指向天空某一固定赤经赤纬的方向。与地轴垂直的轴,则保证望远镜可对准不同赤纬的源。地平式装置(图 2b)又称方位-俯仰装置,它的垂直轴和水平轴分别保证望远镜方位和俯仰的调整。由于机械上比较简单和稳定,一般大型抛物面射电望远镜都采用此种装置。但在跟踪源作周日运动时,两轴都要作不均匀的转动(且当射电源经过天顶时,方位角变化速度接近无穷大),因而需要用数字式或模拟式计算机控制望远镜在两轴上的转速。此外,用这种装置的望远镜跟踪天体,像场的偏振面有不均匀旋转,对部分偏振辐射源的跟踪观测或偏振测量,均须使焦点处的馈源有相应的旋转,这是它不及赤道式装置之处。

图2

可跟踪抛物面射电望远镜可单独使用,作定标和测量偏振、谱线、源亮度分布和普遍巡天之用。它又可作为射电干涉仪、综合孔径射电望远镜的一个单元,这时它能保证系统长时间跟踪的需要。目前最大的可跟踪抛物面射电望远镜是西德马克斯·普朗克射电天文研究所的100米抛物面望远镜。

参考书目
  1. 克里斯琴森和霍格玻姆著,陈建生译:《射电望远镜》,科学出版社,北京,1977。(W. N. Christiansen and J.A.Hgbom,Radio Telescopes,Cambridge Univ.Press,London,1969.)