悬索

在两个悬挂点之间承受载荷的缆索。悬索中各点只能承受张力,且各点的张力都是沿该点悬索的切线方向。悬索桥的主索和输电线等都是悬索。

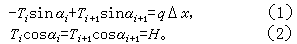
由于悬索的优点是其中各点只承受张力而无弯矩,受力分析比较简单,因而设计简便可靠且能充分发挥钢材性能,以达到节省材料、减轻重量的经济效果。索系悬挂结构在现代已较广泛地被采用于某些大跨度的建筑结构中。例如悬索桥,其主索AB的两悬挂点AB等高,桥面所承受的载荷通过均布的各吊索传到主索上(图1)。AB之间的水平距离l称为跨度。设每单位水平长度上所受载荷的大小为q,并取坐标系Oxy如图1所示。略去悬索和吊索的自重,在悬索中任取在x轴上投影长为Δx的一微段CD,该段悬索在张力TiTi+1和铅垂载荷qΔx作用下平衡(图2),

图1 图2

因而满足下述平衡方程:

公式 符号

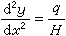
依次类推,可知悬索张力在各点的水平分量都为H,故有:

公式 符号

公式 符号。        (3)

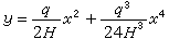
由此可得悬索的挠曲形状为一抛物线,其方程式为:

公式 符号

悬索中任意一点的张力 公式 符号。悬索在最低点O处的张力最小,Tx=0=H;在悬挂点处的张力最大

公式 符号

悬索最低点与悬挂点之间的铅垂距离叫垂度,其值

公式 符号

载荷沿索长均匀分布的悬索,如输电线AB,其单位索长上的载荷为q。在悬索中任取一长为Δs的微段CD,作用在Δs上的铅垂载荷为qΔs,则平衡方程(1)变为:

公式 符号。    (4)

水平方向平衡方程与(2)相同。 故这种悬索的微分方程为:

公式 符号       (5)

公式 符号,故dT=qdy。悬索中任一点的张力为:

T=qy+H

式中y为该点的纵坐标。可见,两悬挂点处张力最大。如选取坐标系的原点在悬索的最低点,则(5)之解为:

公式 符号,       (6)

式中公式 符号是一常数;H是悬索在最低点O处的张力。其挠曲线形状称为悬链线。将式(6)右边展开成级数,有:

公式 符号  (7)

如取上式右边第一项作为近似值,则公式 符号,为一抛物线。许多国家采用“抛物线”作悬索计算理论。当中央挠度系数n=f0/l0(图 3)增大到0.08以后,这理论的误差显著增大。20世纪60年代,由于大跨距单跨索道、悬挂式屋盖结构以及大跨度的桥梁等悬索工程设计的需要,中国学者自(7)截取二项作为二次近似理论。悬索曲线为四次代数方程:

公式 符号

这样修改的悬索计算理论同现有的“抛物线”理论比较,能扩大计算范围两倍左右。

图
参考书目
  1. 单圣涤、李飞云、陈洁余、朱祖楞著:《悬索曲线理论及其应用》,湖南科学技术出版社,长沙,1983。