[拼音]:aohe shuzhi
[外文]:chelate resins
能从含有金属离子的溶液中以离子键或配位键的形式,有选择地螯合特定的金属离子的高分子化合物。以交联聚合物为骨架,连接以特殊的功能基而构成。它属功能高分子。
由于高分子效应以及它的特定的物理结构,螯合树脂对金属离子的选择性比低分子有机螯合试剂更为优异。由于树脂不溶于酸、碱、溶剂等,将树脂与溶液分离很方便,这在富集、分离、分析、回收等方面有突出的优点。
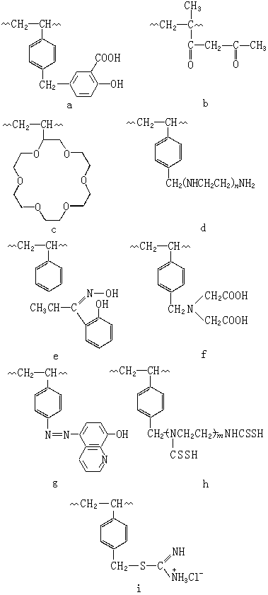
许多合成的和天然的高分子都有螯合性能。螯合树脂主要是指合成物,图中结构a~i是具有代表性的螯合树脂,制备方法一般通过高分子化学反应,或将含有配位基的单体经聚合反应或共聚合反应变为在高分子主链或侧链中含有配位基的树脂。
树脂 f是最常用的一种类似乙二胺四乙酸型的螯合树脂,它对二价金属离子有良好的选择性,在 pH为6时,对金属离子的选择性按下列顺序递降:Cu2+ > Hg2+ >Ni2+>Zn2+>Cd2+≈Fe3+>Mn2+>Ca2+>Mg2+。水杨酸型树脂a可用于海水中Fe3+、Cu2+ 的定量分析。8-羟基喹啉型树脂g可用于除去工业污水中的Hg2+,也可用于铀的分离。天然高分子螯合剂有腐植酸、甲壳素等。
螯合树脂在湿法冶金、分析化学、海洋化学、抗菌素药物、环境保护、地球化学、放射化学和催化等领域有广泛的用途。除了作为金属离子的螯合剂外,也可用作氧化、还原、水解、烯类加成聚合、氧化偶合聚合等反应的催化剂,以及用于氨基酸、肽的外消旋体的拆分。例如含L-脯氨酸功能基的螯合树脂与Cu2+ 螯合后能拆分D,L-脯氨酸外消旋体(j)。螯合树脂与金属离子结合形成络合物后,其力学、热、光、电磁等性能都有所改变。利用这一性质,可将高分子螯合物制成耐高温材料、光敏高分子、耐紫外线剂、抗静电剂、导电材料、粘合剂及表面活性剂等。