高分子化学反应

高分子化合物的结构发生化学转化的各种过程,包括高分子链的化学组成和功能基的转化,以及聚合度、链节序列和表观性能的变化等。早在19世纪中叶就开始对天然高分子结构和化学改性的研究,当时已能将天然橡胶制成橡皮,将纤维素制成硝酸纤维素、醋酸纤维素、铜铵纤维、丝光纤维等,并得到工业应用。1935年B.A.亚当斯通过化学反应最先合成了离子交换树脂,广泛应用于净水、分析化验、冶金、催化、医药等方面。1963年R.B.梅里菲尔德首次固相合成肽成功。以后,化学合成生物大分子,如多肽、寡核苷酸及糖类的工作迅速发展。功能高分子材料的开发,更是与高分子化学反应的深入研究密切相关。总之,高分子化学反应的内容是十分丰富的。

研究目的

(1)通过高分子的化学反应,使高分子材料改性。例如引入功能基团,使非反应性的高聚物变成反应性的高聚物,从而进一步改变原有材料的特性,以适应需要。

(2)从常用的高分子化合物,制备另一类不能通过单体直接聚合得到的高聚物。例如聚乙烯醇是从聚乙酸乙烯酯水解(见高分子水解)得来的。

(3)利用高分子化学反应可以制备不同组成分布的共聚物。

(4)通过高分子的化学反应帮助了解和证明聚合物的结构。

(5)认识高分子老化及裂解原因,找出预防方法,延长使用寿命。

(6)对高分子功能基反应的研究,还促进了其他相应学科的发展。如高分子催化剂的研究,推动了化学工业的发展;高分子试剂的应用,开辟了有机合成的新途径。

特点

高分子化学反应与低分子化合物的反应有许多相似之处,但由于高分子化合物有其独特的性质,有些高分子化学反应是低分子化合物所没有的,例如:

(1)高分子链反应的不均匀性,一个高分子链含有大量具有反应能力的基团,当进行化学反应时,并非链上所有的基团皆参与反应,故不易分离出单一结构的产物。

(2)高分子与化学试剂反应的特点,如属非均相反应,则试剂在高分子相内的扩散速度对反应影响很大;如试剂在高分子内扩散得很好,则反应与低分子反应相似;如试剂不能扩散进入高分子相内,则反应只限于高分子的表面。

(3)高分子降解,由于高分子链很长,在物理或化学因素作用下容易降解或异构化。

主要影响因素

静电荷与位阻

对高分子化合物化学反应的影响与低分子化合物类似,只是表现得更为显著。由于邻近不同的功能基常能相互影响,可提高或减低这些功能基与化学试剂反应的程度。静电荷和位阻的影响是很复杂的,既要考虑到高分子引入功能基前后电性质的变化,又要考虑到高分子在反应体系中的形态。当大分子的部分功能基转化为与化学试剂相同电荷的离子基后,邻近功能基的反应性明显降低,这就使得一个大分子链中,并不是所有基团都能参与反应。例如聚甲基丙烯酰胺在碱性介质里水解,所形成的羧离子与介质里的OH-均带负电荷,互相排斥。水解刚开始时,其水解活性与三甲基乙酰胺相差不远;但当转化率达到72%时,OH-无法与酰胺基两旁均带负电性的羧离子接近(除非在高温作用下,情况有所改变),水解速率很慢,甚至觉察不出有反应发生。位阻对高分子的化学反应也有影响,低分子量的聚乙烯醇较高分子量的易于磺化,原因是高分子量的聚乙烯醇的螺旋卷曲结构较密,在没有溶解或溶胀的情况下,主链上的羟基受到屏蔽,结果硫酸不易同它接触,难于发生化学反应。

结晶度

高分子的化学反应,在非晶态的区域里较易进行,在结晶区域则较难。这是因为高分子晶区的功能基排列较有次序,分子间的取向度较高,分子间相互作用力大,反应试剂不易扩散进入聚合物内部。

溶解度和溶胀度

聚合物的部分功能基发生化学反应后,可以影响聚合物的溶解度,从而降低或提高其反应程度。在一般情况下,提高聚合物的溶解度或溶胀度,可以提高它的反应性能;反之,则降低反应程度。但也有例外,如聚乙酸乙烯酯的醇解,在反应后期,聚合度高(溶解度低)的较聚合度低(溶解度高)的醇解更完全。

为了增大反应速率,经常使用两种反应溶剂,以分别溶解或溶胀反应前后的聚合物。在化学反应中,也会发生副反应如高分子交联作用,这种作用也会影响反应程度及反应速率。不过,若反应试剂在高聚物溶液内的扩散速率不改变,则反应程度和反应速率不会受大影响。

成对进行反应的基团

高分子链上的功能基有时是成双起反应的。若链上的功能基为单数,那么其中必有不能起反应的基团。

链的构象

不同构象的聚合物(见高分子链结构)的功能基的化学活性是不同的。例如立体规整聚N,N-二甲基丙烯酰胺的水解速率较无规立构聚合物快6~7倍,全同立构聚α-甲基丙烯酸甲酯的水解速率和水解程度较间同立构及无规立构物均大,这是由于全同立构聚合物的邻近酰胺基和酯基易于形成环状酸酐,然后水解为羟基所致。

相容性

所谓高聚物相容性就是聚合物的混合物成均相状态。大部分聚合物是不相容的。结构相似的聚合物,如聚苯乙烯与聚叔丁基苯乙烯也是互不相容的。单体组成只差5%的共聚物,也会产生不均匀的混合物。

聚合物的不相容性使化学反应受到重要的影响。往往由于聚合物原料与它的产品结构不同,甚至在反应程度不高的情况下也会发生链段卷曲,致使反应不能进行。在这种情况下,可以使用混合溶剂,以达到既能溶解或溶胀未反应的聚合物,也能溶解或溶胀已反应的聚合物。

高分子反应类型

与低分子相似,高分子化合物能进行一般的有机化学反应、络合反应,此外还能进行降解反应、分子间反应、支化和接枝反应以及特有的表面和力化学反应(见高分子力化学反应)。

高分子的一般有机反应

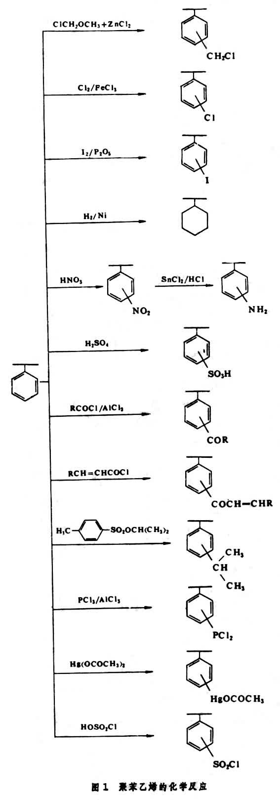
包括取代、加成、消除、水解、酯化、醚化、硝化、磺化、离子交换反应等(见高分子酯化、高分子醚化、高分子硝化、高分子磺化、离子交换树脂)。高分子芳烃的有机反应,可以用在聚苯乙烯的苯环上导入功能基的反应为例(图1)。

图

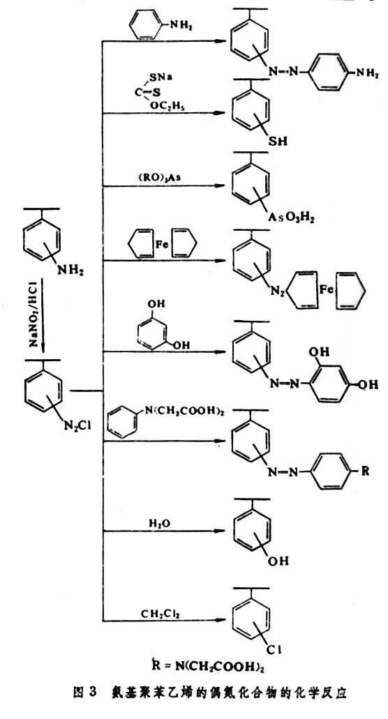
图1所示的化学反应包括了酰基化、烷基化、磺化、硝化、卤化(见高分子卤化)、氯甲基化、氢化(加成)、磺酰氯化、乙酸汞化、氯膦化等。聚苯乙烯经反应得到的氯甲基化聚苯乙烯、氨基化聚苯乙烯和金属锂代聚苯乙烯,又可进一步进行一系列的化学反应(图2、图3 、图4)。

图 图 图

脂肪族高分子的化学反应,是聚合物改性加工的重要基础。不饱和高分子烃类可进行异构化(包括双键转移,顺、反式异构)、环化(见高分子环化)、加成、卤化、环氧化、氢化(见高分子氢化)及与各类羰基试剂反应等。

饱和高分子脂肪烃如聚乙烯、聚氯乙烯可进行卤代反应、氯磺化反应、氯羰基化反应、膦酸化反应等。

纤维素通过不同的化学反应,如水解、氧化(见高分子氧化)、酯化、醚化、乙酰化、硝化、腈乙基化以及与二硫化碳反应等,能制得人造纤维、塑料、涂料、粘合剂等。

高分子的络合反应

带有氨基、膦基、羧基、羰基和羟基等基团的高聚物,可作为高分子配位体,与金属离子络合,形成高分子络合物。高分子络合反应在分析化学、分离萃取、催化等方面的应用是十分重要的。

高分子的降解反应

高分子在使用时,由于受到日光的照射,吸收了紫外线,再遇到空气中的氧和水汽,容易发生降解,同时引起性能的改变,如力学性能变差、变色、发脆、发粘等。加工成型时,如温度过高或应力太大,聚合物也会降解,得到不符合要求的产品。高分子的降解,往往是几个因素同时引起的。

高分子的降解反应,也可以被利用在生产实际和科学研究上,例如测定聚合物的组成和结构,加热裂解废弃的聚合物,从有机玻璃回收单体,以及由天然高分子如纤维素和淀粉水解制葡萄糖等。高分子降解可分为缩聚物降解和加聚物降解。

聚合物的降解可在化学试剂(酸、碱、氧、臭氧、水汽等)或物理因素(光、热、电离辐射、机械力等)的影响下发生。杂链聚合物容易受酸、碱作用而水解,碳链聚合物容易受氧、光、电离辐射等影响而降解。

高分子表面化学反应

这是指在聚合物的加工处理过程中局限在聚合物表面进行的反应,在不改变聚合物基本性能的基础上,改进聚合物的触感性、耐洗性、色泽牢固性、抗静电性、抗磨蚀性以及透水、透液、透气、抗溶剂和粘合性等。聚合物表面通过化学或辐照等方法制得接枝共聚物(见接枝共聚合),也是改进表面性能的重要方面。

目前高分子化学反应的应用范围已十分广阔,在肽、寡核苷酸和多糖的合成中都选用高聚物作为载体,并且利用高分子反应进行固相合成。通过高分子活性酯的反应来合成肽,是一种十分有效和方便的方法。利用高分子反应,可以对肽和蛋白质作定序分析,进行不对称合成和旋光异构体的拆分,鉴定反应中间物以及对反应性功能基进行保护等。

参考书目
  1. E. M. Fettes,
  2. Chemical Reaction of Polymers,John Wiley & Sons, New York, 1964.
  3. J.A.Moore, Reaction on Polymers,D.Reidel Pub.Co.,Boston, 1973.