甲壳素

浏览

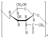
公式 符号

由2-乙酰胺基-2-脱氧-D-吡喃葡萄糖基β-1,4双基键合而成的直链多糖,聚合度约一万。甲壳素广泛存在于甲壳纲动物(如虾和蟹)、昆虫和低等植物(如真菌和绿藻)中,是自然界中最丰富的一种氨基糖的多糖。1823年A.奥迪尔把这种物质命名为甲壳素。

制备方法

将虾或蟹的甲壳用稀盐酸处理除去碳酸钙,然后用浓碱溶液处理,除去蛋白质和其他有机杂质,经水洗和干燥而得。

性质

甲壳素为白色粉末;不溶于水、稀酸、碱、醇和其他有机溶剂,溶于浓无机酸和无水甲酸;在浓酸或浓碱中发生水解。用浓碱处理时,甲壳素脱去乙酰基生成壳聚糖,它的氨基与酸反应,生成易溶于水的壳聚糖盐。通过壳聚糖乙酸盐的氨基反应,可制得各种性能优异的衍生物,它们可用于:

(1)纯化水和从海水中提取铀的离子交换树脂;

(2)凝胶色谱柱的填充物和分子筛;

(3)制备能被生物或酶降解的食物包装膜或可溶性的体内手术线;

(4)培植植物或微生物的保水剂;

(5)纺织品的防缩、防皱处理,直接染料硫化染料的固色。

参考文章