ÉúÎïĤÀë×ÓͨµÀ

¸÷ÖÖÎÞ»úÀë×Ó¿çĤ±»¶¯ÔËÊäµÄͨ·¡£ÉúÎïĤ¶ÔÎÞ»úÀë×ӵĿçĤÔËÊäÓб»¶¯ÔËÊ䣨˳Àë×ÓŨ¶ÈÌݶȣ©ºÍÖ÷¶¯ÔËÊ䣍ĿÀë×ÓŨ¶ÈÌݶȣ©Á½ÖÖ·½Ê½¡£±»¶¯ÔËÊäµÄͨ·³ÆÀë×ÓͨµÀ£¬Ö÷¶¯ÔËÊäµÄÀë×ÓÔØÌå³ÆÎªÀë×ӱá£ÉúÎïĤ¶ÔÀë×ÓµÄͨ͸ÐÔÓë¶àÖÖÉúÃü»î¶¯¹ý³ÌÃÜÇÐÏà¹Ø¡£ÀýÈ磬¸ÐÊÜÆ÷µçλµÄ·¢Éú£¬Éñ¾­ÐË·ÜÓë´«µ¼ºÍÖÐÊàÉñ¾­ÏµÍ³µÄµ÷¿Ø¹¦ÄÜ£¬ÐÄÔಫ¶¯£¬Æ½»¬¼¡È䶯£¬¹Ç÷À¼¡ÊÕËõ£¬¼¤ËØ·ÖÃÚ£¬¹âºÏ×÷ÓúÍÑõ»¯Á×Ëữ¹ý³ÌÖпçĤÖÊ×ÓÌݶȵÄÐγɵȡ£

Ñо¿¼òÊ·

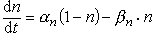
ÔÚÉúÎïµç²úÉú»úÖÆµÄÑо¿Öз¢ÏÖÁËÉúÎïĤ¶ÔÀë×Óͨ͸ÐԵı仯¡£1902ÄêJ.²®¶÷˹̹ÔÚËûµÄĤѧ˵ÖÐÌá³öÉñ¾­Ï¸°ûĤ¶Ô¼ØÀë×ÓÓÐÑ¡Ôñͨ͸ÐÔ¡£1939ÄêA.L.»ôÆæ½ðÓëA.F.ºÕñãÀèÓÃ΢µç¼«²åÈëǹÎÚÔô¾ÞÉñ¾­ÏËάÖУ¬Ö±½Ó²âÁ¿µ½Ä¤ÄÚÍâµçλ²î¡£1949ÄêA.L.»ôÆæ½ðºÍB.¿¨´ÄÔÚһϵÁй¤×÷»ù´¡ÉÏÌá³öĤµçλÀë×Ó¼Ù˵£¬ÈÏΪϸ°ûĤ¶¯×÷µçλµÄ·¢ÉúÊÇĤ¶ÔÄÉÀë×Óͨ͸ÐÔ¿ìËÙ¶øÌØÒìÐÔµØÔö¼Ó£¬³ÆÎª¡°ÄÆÑ§Ëµ¡±¡£ÓÈÆäÖØÒªµÄÊÇ£¬1952ÄêA.L.»ôÆæ½ðºÍA.F.ºÕñãÀèÓõçѹǯ¼¼ÊõÔÚǹÎÚÔô¾ÞÉñ¾­ÖáÍ»É϶Ôϸ°ûĤµÄÀë×ÓµçÁ÷ºÍµçµ¼½øÐÐÁËϸÖµض¨Á¿Ñо¿£¬½á¹û±íÃ÷Na+ºÍK+µÄµçÁ÷ºÍµçµ¼ÊÇĤµçλºÍʱ¼äµÄº¯Êý£¬²¢Ê×´ÎÌá³öÁËÀë×ÓͨµÀµÄ¸ÅÄî¡£ËûÃǵÄÄ£ÐÍ (H-HÄ£ÐÍ)ÈÏΪ£¬Ï¸°ûĤµÄK+ͨµÀÊÜĤÉÏ4¸ö´øµçÁ£×ӵĿØÖÆ£¬µ±4¸öÁ£×ÓÔÚĤµç³¡×÷ÓÃÏÂÍ¬Ê±ÒÆµ½Ä³Ò»Î»ÖÃʱ£¬K+²ÅÄÜ´©¹ýĤ¡£ÉènÊÇÒ»¸öÁ£×ÓλÓÚͨµÀλÖõļ¸ÂÊ£¬Ôò K+µçµ¼Îª£º

¡¡¡¡¡¡¡¡¡¡¡¡¡¡ (1)

¼Ù¶¨²ÎÊýn·þ´ÓÒ»½×·´Ó¦·½³Ì£¬ÔòÓУº

¡¡¡¡¡¡¡¡¡¡ (2)

¶ÔNa+µçµ¼£¬ÈÏΪÓÐ3¸ö´øµçÁ£×Óͬʱ¿ØÖÆÍ¨µÀµÄ¿ª·Å(»î»¯)£¬Ã¿¸öÁ£×ÓλÓڻλÖõļ¸ÂÊÊÇm£¬Ò»¸öÁ£×Ó¸ºÔðͨµÀµÄʧ»î£¬Ê§»î¼¸ÂÊÊÇ1-h£¬ÔòͨµÀµÄ¿ª·Å¼¸ÂÊΪm3h£¬Na+µçµ¼¿ÉдΪ£º

¡¡¡¡¡¡¡¡¡¡¡¡¡¡(3)

ͬÑù£¬¶ÔmºÍhÒ²²ÉÓÃÒ»½×·´Ó¦·½³ÌµÄÐÎʽ£¬ÔòÓУº

¡¡¡¡¡¡¡¡¡¡¡¡(4)

¡¡¡¡¡¡¡¡¡¡¡¡(5)

ÒÔÉϸ÷ʽÖУ¬ºÍΪ×î´óK+ºÍNa+µçµ¼£¬¦Án¡¢βn¡¢¦Ám¡¢βm¡¢¦Áh¡¢βh·Ö±ð±íʾÏà¹Ø¹ý³ÌµÄËÙÂʳ£Êý£¬ËüÃÇÊÇĤµçλµÄº¯Êý¡£

ÁíÒ»·½Ã棬1955Ä꣬¿¨Ë¹ÌØÂÞºÍB.¿¨´Ä¶ÔÉñ¾­-¼¡Èâ½ÓÍ·Í»´¥´«µÝ¹ý³ÌµÄÑо¿·¢ÏÖ£ºÍ»´¥ºóĤÖÕ°åµçλµÄ·¢Éú£¬ÊÇÓÉÓÚÉñ¾­µÝÖÊÒÒõ£µ¨¼î(Ach)×÷ÓÃÓÚÖÕ°åĤÉÏÊÜÌåµÄ½á¹û£¬´Ó¶øÈ·ÈÏÁËÊÜ»¯Ñ§µÝÖʵ÷¿ØµÄͨµÀ¡£60Äê´ú£¬Óø÷ÖÖÉúÎï²ÄÁ϶Բ»Í¬Àë×Óͨ͸ÐÔµÄÑо¿±íÃ÷£¬¸÷ÖÖÀë×ÓÔÚĤÉϸ÷×ÔÓÐרһÐÔµÄÔËÊä»ú¹¹£¬Ôø¾­Ìá³öÔËÊä»ú¹¹ÊÇÔØÌå¡¢¶´¿×ºÍÀë×Ó½»»»µÈÄ£ÐÍ¡£1973ÄêºÍ1974Ä꣬C.M.°¢Ä·Ë¹ÌØÀÊ¡¢F.±´ÈøÄáÀûÑǼ°R.D.¿­¶÷˹¡¢E.ÂÞ¼Ö˹Á½×é·Ö±ðÔÚÉñ¾­ÖáÍ»ÉϲâÁ¿µ½ÓëÀë×ÓͨµÀ¿ª·ÅÏà¹ØµÄĤÄÚµçºÉµÄÔ˶¯£¬³ÆÎªÃſصçÁ÷£¬È·ÈÏÁËÀë×ÓͨµÀµÄ¿ª·ÅÓëĤÖдøµç³É·ÖÔ˶¯µÄÒÀ´ÓÐÔ¡£1976ÄêE.ÄÚ¶ûºÍB.Èø¿ËÂü´´Á¢ÁËÀë×Óµ¥Í¨µÀµçÁ÷¼Ç¼¼¼Êõ£¬²¢Ñ¸Ëٵõ½ÍƹãÓ¦Ó㬽üÄêÓÃÕâÖÖ¼¼Êõ·¢ÏÖÁËһЩÐÂÐÍÀë×ÓͨµÀ£¬ÎªÉîÈëÑо¿Í¨µÀµÄ½á¹¹ºÍ¹¦ÄÜÌṩÁËÓÐÁ¦µÄ¹¤¾ß¡£

80Äê´ú³õ£¬Ñ§ÕßÃÇÏȺó´Óϸ°ûĤÉÏ·ÖÀëºÍ´¿»¯ÁËһЩÔËÊäÀë×ӵŦÄÜÐÔµ°°×ÖÊ£¬²¢ÔÚÈ˹¤Ä¤Éϳɹ¦µØÖؽ¨ÁËͨµÀ¹¦ÄÜ£¬´Ó¶ø¿Ï¶¨ÁËÀë×ÓͨµÀʵÌå¾ÍÊÇĤÉÏÒ»Ð©ÌØÊâµ°°×ÖÊ·Ö×Ó»òÆä¸´ºÏÎï¡£½üÄ꣬¿ÆÑ§¼ÒÓ¦ÓûùÒòÖØ×é¼¼ÊõÑо¿Àë×ÓͨµÀµÄ½á¹¹£¬1982ºÍ1984Ä꣬Ŧμ°ºÏ×÷ÕßÏȺó²â¶¨ÁËNÐÍAchÊÜÌåºÍ Na+ͨµÀµ°°×µÄ°±»ùËáÐòÁС£

Ñо¿·½·¨

Àë×ÓͨµÀ½á¹¹ºÍ¹¦ÄܵÄÑо¿Ðè×ÛºÏÓ¦Óø÷ÖÖ¼¼Êõ£¬°üÀ¨£ºµçѹºÍµçÁ÷ǯλ¼¼Êõ¡¢µ¥Í¨µÀµçÁ÷¼Ç¼¼¼Êõ¡¢Í¨µÀµ°°×·ÖÀë¡¢´¿»¯µÈÉú»¯¼¼Êõ¡¢È˹¤Ä¤Àë×ÓͨµÀÖØ½¨¼¼Êõ¡¢Í¨µÀÒ©Îïѧ¡¢»ùÒòÖØ×é¼¼Êõ¼°Ò»Ð©ÎïÀíºÍ»¯Ñ§¼¼Êõ¡£

µçѹǯλ¼¼Êõ

Ò»°ã¶øÑÔ£¬Ä¤¶ÔijÖÖÀë×Óͨ͸ÐԵı仯ÊÇĤµçλºÍʱ¼äµÄº¯Êý¡£Óò£Á§Î¢µç¼«²åÈëϸ°ûÄÚ£¬ÀûÓõç×Óѧ¼¼ÊõÊ©¼ÓÒ»¿çĤµçѹ²¢°ÑĤµçλ¹Ì¶¨ÓÚijһÊýÖµ£¬¿ÉÒԲⶨ¸ÃĤµçλÌõ¼þÏÂÀë×ÓµçÁ÷ËæÊ±¼ä±ä»¯µÄ¶¯Ì¬¹ý³Ì¡£ÀûÓÃÒ©Îï»ò¸Ä±äϸ°ûÄÚÍâµÄÈÜÒº³É·Ö£¬Ê¹ÆäËûÀë×ÓͨµÀʧЧ£¬¼´¿É²â¶¨±»Ñо¿µÄijÖÖÀë×ÓͨµÀµÄ¹¦ÄÜÐÔ²ÎÁ¿£¬·ÖÎöÀë×ÓµçÁ÷µÄÎÈ̬ºÍ¶¯Á¦Ñ§ÓëĤµçλ¡¢Àë×ÓŨ¶ÈµÈÖ®¼äµÄ¹ØÏµ£¬¿ÉÍÆ¶Ï¸ÃÖÖͨµÀµÄµçµ¼¡¢»î»¯ºÍʧ»îËÙÂÊ¡¢Àë×ÓÑ¡ÔñÐԵȣ¬²¢ÄܲâÁ¿ºÍ·ÖÎöͨµÀµÄÃſصçÁ÷µÄÌØÐÔ¡£

µ¥Í¨µÀµçÁ÷¼Ç¼¼¼Êõ

ÓÖ³ÆÄ¤Æ¬Ç¯Î»¼¼Êõ£¬ÓÃÌØÖÆµÄ²£Á§Î¢Îü¹ÜÎü¸½ÓÚϸ°û±íÃæ£¬Ê¹Ö®ÐγÉ10¡«100GΩµÄÃÜ·â(giga-seal)£¬±»¹ÂÁ¢µÄÐ¡Ä¤Æ¬Ãæ»ýΪ¦Ìm2Á¿¼¶£¬ÄÚÖнöÓÐÉÙÊýÀë×ÓͨµÀ¡£È»ºó¶Ô¸ÃĤƬʵÐеçѹǯ룬¿É²âÁ¿µ¥¸öÀë×ÓͨµÀ¿ª·Å²úÉúµÄpA£¨10-12°²ÅࣩÁ¿¼¶µÄµçÁ÷£¬ÕâÖÖͨµÀ¿ª·ÅÊÇÒ»ÖÖËæ»ú¹ý³Ì¡£Í¨¹ý¹Û²âµ¥¸öͨµÀ¿ª·ÅºÍ¹Ø±ÕµÄµçÁ÷±ä»¯£¬¿ÉÖ±½ÓµÃµ½¸÷ÖÖÀë×ÓͨµÀ¿ª·ÅµÄµçÁ÷·ùÖµ·Ö²¼¡¢¿ª·Å¼¸ÂÊ¡¢¿ª·ÅÊÙÃü·Ö²¼µÈ¹¦ÄܲÎÁ¿£¬²¢·ÖÎöËüÃÇÓëĤµçλ¡¢Àë×ÓŨ¶ÈµÈÖ®¼äµÄ¹ØÏµ¡£»¹¿É°ÑÎü¹ÜÎü¸½µÄĤƬ´Óϸ°ûĤÉÏ·ÖÀë³öÀ´£¬ÒÔĤµÄÍâ²àÏòÍâ»òĤµÄÄÚ²àÏòÍâµÈ·½Ê½½øÐÐʵÑéÑо¿¡£ÕâÖÖ¼¼Êõ¶ÔСϸ°ûµÄµçѹǯλ¡¢¸Ä±äĤÄÚÍâÈÜÒº³É·ÖÒÔ¼°Ê©¼ÓÒ©Îï¶¼ºÜ·½±ã¡£

ͨµÀÒ©ÎïѧÑо¿

Ó¦Óõçѹǯλ»òµ¥Í¨µÀµçÁ÷¼Ç¼¼¼Êõ£¬¿É·Ö±ðÓÚ²»Í¬Ê±¼ä¡¢²»Í¬²¿Î»£¨Ä¤ÄÚ²à»òÍâ²à£©Ê©Óø÷ÖÖŨ¶ÈµÄÒ©ÎÑо¿ËüÃǶÔͨµÀ¸÷ÖÖ¹¦ÄܵÄÓ°Ïì¡£½áºÏ¶ÔÒ©Îï·Ö×ӽṹµÄÁ˽⣬²»µ«¿ÉÒÔÉîÈëÁ˽âÒ©ÎïºÍ¶¾ËضÔÈ˺Ͷ¯ÎïÉúÀí¹¦ÄÜ×÷ÓõĻúÖÆ£¬»¹¿ÉÒÔ´Ó·Ö×ÓˮƽµÃµ½Í¨µÀ¹¦ÄÜÑǵ¥Î»µÄÀàÐͺ͹¹ÏóµÈÐÅÏ¢¡£

ͨµÀµ°°×·ÖÀ롢ͨµÀÖØ½¨ºÍ»ùÒòÖØ×é¼¼Êõ

ÀûÓÃÓëͨµÀÌØÒì½áºÏµÄ¶¾¼Á±ê¼Ç£¬¿É°ÑͨµÀµ°°×ÖÊ´ÓĤÉÏ·ÖÀëÏÂÀ´£¬¾­¹ý´¿»¯£¬¿ÉÒԲⶨ¸÷Ñǵ¥Î»¶àëĵķÖ×ÓÁ¿¡£È»ºó£¬°ÑËüÃǼÓÈëÈ˹¤Ä¤£¬¿ÉÖØÐ»ָ´Í¨µÀ¹¦ÄÜ¡£ÓÃÓÚÈ·¶¨µ°°×Öʰ±»ùËáÐòÁеĻùÒòÖØ×é¼¼ÊõµÄ³ÌÐòÊÇ£º´Óϸ°ûÖзÖÀë³öº¬ÓÐÓë¸ÃÖÖͨµÀµ°°×Ïà¹ØµÄmRNA£¬ÖÃÈëijÖÖϸ°û(Èç´ó³¦¸Ë¾ú)£¬¾­Äæ×ªÂ¼µÃµ½cDNA¡£ÓÃÏÞÖÆÐÔÄÚÇÐø½«cDNAÇиî³ÉÌØ¶¨Æ¬¶Î£¬ÔÙÓúËËáÔÓ½»·½·¨µö³öÌØ¶¨µÄDNA²¢¿Ë¡»¯¡£Í¨¹ý²â¶¨ÑôÐÔ¿Ë¡DNAµÄºËÜÕËá˳Ðò£¬ÍƶϳöÏàÓ¦µÄµ°°×Öʰ±»ùËáÐòÁС£

ÀàÐͺ͹¦ÄÜÌØÕ÷

Àë×ÓͨµÀÒÀ¾ÝÆä»î»¯µÄ·½Ê½²»Í¬£¬¿É·ÖÁ½ÀࣺһÀàÊǵçѹ»î»¯µÄͨµÀ£¬¼´Í¨µÀµÄ¿ª·ÅÊÜĤµçλµÄ¿ØÖÆ£¬ÈçNa+¡¢Ca+¡¢Cl-ºÍһЩÀàÐ͵ÄK+ͨµÀ£»ÁíÒ»ÀàÊÇ»¯Ñ§Îï»î»¯µÄͨµÀ£¬¼´¿¿»¯Ñ§ÎïÓëĤÉÏÊÜÌåÏ໥×÷Óöø»î»¯µÄͨµÀ£¬Èç AchÊÜÌåͨµÀ¡¢°±»ùËáÊÜÌåͨµÀ¡¢Ca+»î»¯µÄK+ͨµÀµÈ¡£

ÄÆÍ¨µÀ

¸÷ÖÖÉúÎï²ÄÁÏÖУ¬ÓëµçÐË·ÜÏà¹ØµÄNa+ͨµÀÓÐÏàËÆµÄ»ù±¾ÌØÕ÷¡£Í¨µÀ»î»¯Ê±¼ä³£ÊýСÓÚ1ºÁÃ룬ʧ»îʱ¼ä³£ÊýΪÊýºÁÃ룬Na+µçÁ÷µÄ·´×ªµçλԼ+55ºÁ·ü¡£µ¥Í¨µÀµçÁ÷¼Ç¼ÏÔʾ£¬Na+µ¥Í¨µÀµçµ¼Îª4¡«20pS£¬Æ½¾ù¿ª·ÅÊÙÃüÊýºÁÃë¡£Na+ͨµÀ¶ÔÒ»¼Û¼î½ðÊôÀë×ÓµÄÑ¡Ôñͨ͸ÐÔ±ÈÂÊÊÇ£º

¸ù¾ÝһЩҩÎïºÍ¶¾ËضÔNa+ͨµÀ¹¦ÄܵIJ»Í¬Ó°Ï죬¿É·ÖΪ4ÖÖÀàÐÍ£º

£¨1£©Í¨µÀ×è¶Ï¼Á£¬ÈçºÓëà¶¾ËØ(TTX)¡¢Ê¯·¿¸ò¶¾ËØ(STX)¡£

£¨2£©Í¨µÀ»î»¯ÔöÇ¿¼Á£¬Èç¦Â-Ы¶¾¡¢¼ý¶¾Íܶ¾ËØ(BTX)¡¢Þ¼Â«¼î¶¾ËØ(VER)µÈ¡£

£¨3£©Í¨µÀ»î»¯ÒÖÖÆ¼Á£¬ÈçһЩ¾Ö²¿Âé×í¼Á¼°ÆäÑÜÉúÎï¡£

£¨4£©Í¨µÀʧ»îÒÖÖÆ¼Á£¬ÈçÁ´Ã¹µ°°×ø¡¢N-äåÒÒõ£°·(NBA)µÈ¡£

¼ØÍ¨µÀ

¸ù¾Ý¹¦ÄÜÌØÐԵIJ»Í¬£¬K+ͨµÀ¿É·ÖΪÒÔÏÂÀàÐÍ£º

£¨1£©Âý£¨ÑÓ³Ù£©K+ͨµÀ(KͨµÀ)£¬Ò²¾ÍÊÇH-HÄ£ÐÍÖеÄK+ͨµÀ¡£µ¥Í¨µÀµçÁ÷¼Ç¼ÏÔʾ£¬µ¥¸öKͨµÀµçµ¼ÔÚ2¡«20pS£¬Í¨µÀƽ¾ù¿ª·ÅÊÙÃüΪÊýÊ®ºÁÃë¡£¸ÃÖÖͨµÀ¿É±»ËÄÒÒ°·(TEA)µÈÌØÒìÐÔ×è¶Ï£¬Í¨µÀ¶ÔK+Óи߶ÈÑ¡ÔñÐÔ£¬µ«RŠººÍNH‹ÁÒàÄÜͨ¹ý£¬ÕâÖÖͨµÀÔÚÉñ¾­ÖáÍ»ºÍ¹Ç÷À¼¡Ï¸°ûĤÖÐÓнϸßÃܶȡ£

£¨2£©¿ì£¨ÔçÆÚ£©K+ͨµÀ£¨AͨµÀ£©£¬¸ÃÖÖͨµÀÍâÏòµÄK+Á÷ÔÚĤȥ¼«»¯µÄÔçÆÚ¾Í³öÏÖ£¬±íÃ÷ͨµÀµÄ»î»¯Ê±¼ä³£Êý±ÈÂýK+ͨµÀСµÃ¶à£¬µ«ÔÚ-40ºÁ·üÒÔÉϸÃͨµÀ¼´¹Ø±Õ¡£µçѹǯλʵÑé±íÃ÷£¬Æäºê¹ÛµçÁ÷¶¯Á¦Ñ§ÓëNa+µçÁ÷ÏàËÆ¡£½ÏµÍŨ¶ÈµÄ4-°±»ùßÁ़´ÄÜ×è¶Ï¸ÃͨµÀ£¬ËüÒ²¿É±»ËÄÒÒ°·×è¶Ï¡£

£¨3£©Ca2+»î»¯µÄK+ͨµÀ¡²K(Ca)ͨµÀ¡³£¬¸ÃÖÖͨµÀµÄ¿ª·Å£¬²»µ«ÓëĤµçλÓйأ¬¶øÇÒÒÀÀµÓÚϸ°ûÄÚCa2+µÄŨ¶È£¬Ã¿¸öͨµÀÐè½áºÏÁ½¸öCa2+²ÅÄܻ¡£µ¥Í¨µÀµçµ¼¿É¸ß´ï300pS£¬²¢Óнϳ¤µÄ¿ª·ÅÊÙÃü£¬ÕâÖÖͨµÀÓëCa2+ͨµÀЭͬ×÷Ó㬶Ե÷½Úϸ°ûĤµçÐË·ÜÐԵĽÚÂÉÓÐÖØÒªÒâÒå¡£Ëü¿É±»ËÄÒÒ°·¡¢N'-ËÄÒÒËá(EGTA)¡¢¿üÄá¶¡ºÍBa2+×è¶Ï¡£

£¨4£©ÄÚÏòÕûÁ÷µÄK+ͨµÀ£¬ÆäÌØÕ÷ÊÇ£ºÔÚĤ³¬¼«»¯Ê±Í¨µÀ¿ª·ÅÓëĤµçλºÍ°ûÍâK+Ũ¶ÈÃÜÇÐÏà¹Ø£¬Í¨µÀ¿ª·Åʱ²úÉúÄÚÏòK+µçÁ÷£¬µ¥Í¨µÀµçµ¼ÔÚ5¡«10pS·¶Î§¡£

¸ÆÍ¨µÀ

Ca2+ͨµÀ¹ã·º´æÔÚÓÚ¸÷ÖÖÉúÎï×éÖ¯µÄϸ°ûĤÖС£ºê¹ÛµÄCa2+µçÁ÷¶¯Á¦Ñ§ÌØÕ÷ÓëNa2+µçÁ÷ÏàËÆ£¬µ«·åֵСÇÒʧ»î¹ý³ÌÂý£¬¿É´ïÊýÊ®µ½Êý°ÙºÁÃë¡£Ca2+ͨµÀ¶ÔCa2+¡¢Ba2+¡¢Sr2+¶¼Óиßͨ͸ÐÔ£¬µ«Ni2+¡¢Cd2+¡¢Co2+¡¢Mn2+µÈÀë×ÓÄÜÓÐЧµØ×è¶ÏCa2+ͨµÀ¡£Ò©Îï¶ÔCa2+ͨµÀµÄ×÷ÓÿɷÖΪ£º

£¨1£©Í¨µÀ×è¶Ï»òÒÖÖÆ¼Á£¬¿É·ÖΪ±½Íé»ù°·ÀࣨÈçÒ첩¶¨¡¢¼×»ùÒ첩¶¨D600£©¡¢±½Áòµª«úÀࡢ˫ÇâßÁà¤ÀàµÈÀàÐÍ¡£

£¨2£©Í¨µÀ¼¤»î¼Á£¬Ò»Ð©Ë«ÇâßÁऻ¯ºÏÎïÈçBayK8644µÈÒ©Îï¿É»î»¯Ca2+ͨµÀ¡£½üÄ꣬¶ÔС¼¦±³¸ùÉñ¾­½Úϸ°ûµÄÑо¿·¢ÏÖÓÐ3ÖÖÀàÐ͵ÄCa2+ͨµÀ£º

£¨1£©LÐÍ£¬¸ÃÖÖͨµÀÔÚĤµçλ´óÓÚ-20ºÁ·üʱ»î»¯£¬µçÁ÷ʧ»î»ºÂý¡£µ¥Í¨µÀµçµ¼Ô¼25pS¡£

£¨2£©TÐÍ£¬Ä¤µçλԼ-60ºÁ·üʱͨµÀ¼´»î»¯£¬-10ºÁ·üÒÔÉÏͨµÀµçÁ÷·ùÖµ·´¶øÏ½µ£¬µ¥Í¨µÀµçµ¼Ô¼8pS¡£

£¨3£©NÐÍ£¬¸ÃÖÖͨµÀÔÚĤµçλ²»Ð¡ÓÚ-10ºÁ·ü²ÅÄܻ£¬µ«ÓÖ±ØÐ볬¼«»¯µ½-80ºÁ·üÒÔϲÅÄܿ˷þͨµÀµÄʧ»î¡£µçÁ÷¶¯Á¦Ñ§±È LÐͿ쵫±ÈTÐÍÂý£¬µ¥Í¨µÀµçµ¼Ô¼13pS¡£ÒÔÉÏ3ÀàCa2+ͨµÀÔÚ²»Í¬Ï¸°ûĤÉÏÑ¡ÔñÐÔ·Ö²¼¼°ÃܶȵIJî±ð£¬½«Ó°Ïì¸÷ÖÖϸ°ûµÄÉúÀí¹¦ÄÜ¡£Ca2+ͨµÀ³ýÁ˶Ôϸ°ûµçÐË·ÜÐÔÓй±Ï×Í⣬Ëüͨ¹ýµ÷½Úϸ°ûÄÚCa2+Ũ¶È£¬¿É½øÒ»²½µ÷½ÚÐí¶àϸ°û¹¦ÄÜ¡£

NÐÍÒÒõ£µ¨¼îÊÜÌåͨµÀ

ËüÊÇÓÉÉñ¾­µÝÖÊAch»î»¯µÄÕýÀë×ÓͨµÀ¡£µ±Í»´¥Ç°Ä¤Ò»´ÎÁ¿×Ó»¯ÊÍ·ÅÊýǧ¸ö Ach·Ö×Ó£¬ËüÃÇ×÷ÓÃÓÚÍ»´¥ºóĤÉϵÄNÐÍÊÜÌåʱ£¬ÊÜÌåͨµÀ¿ª·Å£¬²úÉúNa+ºÍK+µçÁ÷£¬Òý·¢Í»´¥ºóĤһ¸öСÖÕ°åµçλ(mEPP)¡£N-AchRµ¥Í¨µÀµçµ¼ÔÚ20¡«60pS·¶Î§£¬Æ½¾ù¿ª·ÅÊÙÃüÊýºÁÃ룬ͨµÀµçÁ÷·´×ªµçλԼ-10ºÁ·ü£¬½üÄê·¢ÏÖ¸ÃÖÖͨµÀÓжàÖֵ絼̬£¨¼ûͼ£©¡£

ͼ

ͨµÀµÄÀë×ÓÑ¡ÔñÐԽϲ¿ÉÔÊÐíÊýÊ®ÖÖÎÞ»úºÍÓлúÕýÀë×Óͨ¹ý£¬Ðí¶à¶¾ËغÍÓлúÎïÄÜ×è¶Ï»òÒÖÖÆ¸ÃÖÖͨµÀ£¬¦Á-Òø»·Éß¶¾(¦Á-BGTX)ÊÇ NÐÍAchÊÜÌåͨµÀµÄÌØÒìÐÔ×è¶Ï¼Á¡£

80Äê´úÒÔÀ´£¬ÒÑ·¢ÏÖ¶àÖÖÓÉÉñ¾­µÝÖʺͼ¤ËػµÄÊÜÌåͨµÀ£¬Èç¹È°±ËáÊÜÌåͨµÀ¡¢¶à°Í°·ÊÜÌåͨµÀ¡¢5-ôÇÉ«°·ÊÜÌåͨµÀ¡¢¦Ã-°±»ù¶¡ËáÊÜÌåͨµÀµÈ¡£

·Ö×Ó¹¹ÏóºÍÃſض¯Á¦Ñ§

Àë×ÓͨµÀÑо¿µÄÇ°ÑØÊÇÊÔͼ´Ó·Ö×Óˮƽ½ÒʾͨµÀµ°°×µÄ¿Õ¼ä¹¹Ïó¡¢¹¹Ïó±ä»¯ÓëͨµÀÃſض¯Á¦Ñ§Ö®¼äµÄ¹ØÏµ¡£

N-AchRͨµÀ

ÒѲⶨÁËÊÜÌåµ°°×ÖÊ·Ö×ÓÁ¿ÊÇ250000£¬²¢²â¶¨ÁËËüµÄÈ«²¿°±»ùËáÐòÁУ¬È·Ö¤¸ÃÊÜÌåͨµÀÓÉ¡¢¦Á¡¢¦ÃºÍ¦Ä5¸öÑÇ»ù×é³É£¬Õâ4ÖÖÑÇ»ùÓÐÏàËÆµÄ°±»ùËá˳Ðò£¬µ«Ö»ÓЦÁÑÇ»ùÉÏÓÐ ¦Á-BGTXµÄÌØÒì½áºÏλµã¡£Ò»ÖÖ¹¹ÏóÄ£ÐÍÊÇ£º5¸öÑÇ»ù¸÷ÓÐÈô¸É¸ö¦ÁÂÝÐý¿çĤÅÅÁУ¬¹²Í¬ÐγÉÎå°ê×´µÄµ°°×Öʸ´ºÏÎÁ½¸ö¦ÁÑÇ»ù¼äÊÇÇ×Ë®µÄÀë×ÓͨµÀ£¬Í¨µÀ¿ª¿ÚÔ¼25°££¬ÖмäÊÇ6¡«7°£µÄÏÁÕ­¿×µÀ£¬ÆäÖÐÅÅÁÐÓиºµçÐÔ°±»ùËá²Ð»ù²àÁ´¡£µ±Á½¸ö Ach·Ö×Ó·Ö±ð½áºÏÓÚÁ½¸ö¦ÁÑÇ»ùÌØ¶¨Î»µãºó£¬ÒýÆð¾Ö²¿¹¹Ïó±ä»¯£¬Ê¹Í¨µÀ¿ª·Å£¬¿ÉÓÃÒÔÏÂģʽÃèÊöÆä¶¯Á¦Ñ§¹ý³Ì£º

ʽÖÐAÊÇAch·Ö×Ó£¬RÊÇÊÜÌ壬 µÈ·Ö±ð±íʾÿһ²½·´Ó¦µÄËÙÂʳ£Êý¡£

ÄÆÍ¨µÀ

´Óµç÷©µç°å·ÖÀëµÄÄÆÍ¨µÀµ°°×ÖÊ·Ö×ÓÁ¿ÊÇ208321£¬ÊÇÓÉ1820¸ö°±»ùËá×é³ÉµÄ¶àëÄÐòÁУ¬¿É·ÖΪ4¸öÏàËÆµÄÇø¶Î£¬Ã¿¸öÇø¶ÎÖзֱðÓнϼ¯ÖеÄÕýµçÐԺ͸ºµçÐԵݱ»ùËáÐòÁнڶΡ£¶àÖÖÄÆÍ¨µÀ¹¹ÏóÄ£Ð͵Ĺ²Í¬ÌØÕ÷ÊÇ:Óɶà¸ö¦ÁÂÝÐý¿çĤÅÅÁÐ×é³ÉͨµÀ£¬Í¨µÀÄÚ²àÓ¦¸»º¬¼«ÐԵݱ»ùËá²Ð»ù²àÁ´£¬Ã¿¸öͨµÀµÄ¿ØÖƲ¿·ÖÓÉÀë×ÓÑ¡ÔñÐÔÂËÆ÷¡¢»î»¯Õ¢ÃźÍʧ»îÕ¢ÃÅ3²¿·Ö×é³É£¬ÆäʵÌåÊǰ±»ùËá²àÁ´µÄ¼«ÐÔ»ùÍÅ¡£Ä¤µçλ±ä»¯Ê±£¬µç³¡ÓÕµ¼¼«ÐÔ»ùÍÅÔ˶¯£¬Ê¹Í¨µÀ¾Ö²¿¹¹Ïó·¢Éú±ä»¯£¬µ¼ÖÂͨµÀµÄ¿ª·Å¡¢Ê§»î»ò¹Ø±Õ£¬²¢²úÉúÃſصçÁ÷¡£Ò»ÖÖ¶¯Á¦Ñ§Ä£Ê½ÈçÏ£º

kCOµÈ·Ö±ð±íʾ¸÷ÖÖ״̬ת»¯µÄËÙÂʳ£Êý¡£¹ØÓڹرա¢»î»¯ºÍʧ»î3ÖÖ״̬֮¼äµÄת»¯£¬ÓÐÁ½Öֹ۵㣺һÖÖÈÏΪͨµÀ´Ó¹Ø±Õ̬±ØÐë¾­»î»¯Ì¬²ÅÄÜת»¯ÎªÊ§»î̬(żÁª·½Ê½)£¬ÁíÒ»ÖÖÈÏΪ´Ó¹Ø±Õ̬¿ÉÒÔÖ±½Óת»¯ÎªÊ§»î̬£¨·ÇżÁª·½Ê½£©£¬Ä¿Ç°·ÇżÁª·½Ê½µÃµ½½Ï¶àµÄʵÑéÊÂʵ֧³Ö¡£

²Î¿¼ÊéÄ¿
  1. B.Hille£¬Ionic Channels of Excitable Membranes£¬Plenum Press£¬New York£¬1984.
  2. R.Lalorre¡¡ed.£¬Ionic¡¡Channels¡¡in¡¡Cells and Model Systems£¬ Plenum Press£¬New York£¬1986.
  3. B.Sakmann£¬ E.Neher£¬Single-Channel¡¡Recording£¬ Plenum Press£¬New York£¬1983.