气体动力学

在连续介质假设的前提下研究伴有热效应的气体介质运动规律的学科。它是在经典流体力学的基础上,结合热力学和化学发展起来的。通常所说的气体动力学假定气体是无粘性、不传热的。在气体动力学中,根据运动速度将流动分为亚声速流动、跨声速流动、超声速流动和高超声速流动;根据流动在空间中的变化特点分为一维流动、二维流动和三维流动;根据空间中每一点处的流动是否随时间而改变分为定常流动和非定常流动。按照所处理问题的流场是否为无限大可分为外流问题和内流问题。高速飞行器(如飞机、导弹、航天器等)的绕流属于外流问题;喷气发动机、风洞、燃气轮机等设备中的流动则属于内流问题。在流动过程中可以有化学变化,也可以没有化学变化。气流在空间中可以连续变化,也可以发生突跃变化。激波、爆轰、爆燃现象等就属于突跃变化。

发展简史

气体动力学的早期研究始于19世纪80年代。英国的W.J.M.兰金和法国的P.H.许贡纽对大波幅的强扰动波(如激波)作了理论研究,得出这种强波前后的压强比和密度比以及其他参量比的关系式。这些关系式称为兰金-许贡纽关系式(见激波关系式)。1887年奥地利物理学家E.马赫通过实验发现,超声速流动的特征并不取决于流速的绝对值,而是取决于流速对当地声速的比值。这个比值后称为马赫数。瑞典工程师C.G.P.de拉瓦尔在研制蒸汽涡轮机中发现,要想在喷管中获得超声速气流,按低速流的规律将管道截面作单调的收缩是办不到的。后来他把喷管做成先收缩后扩张、中间细的形状,终于得到了超声速气流(见拉瓦尔管)。1902年俄国学者С.А.恰普雷金用速度图法研究了气体射流。由于当时生产上对高速流动或有热交换流动研究的需要还不迫切,气体动力学只处于萌芽阶段。在第二次世界大战中,飞机发动机功率越来越大,飞机的外形越来越符合高速的要求,活塞发动机飞机的飞行速度已达到声速的0.5~0.6倍。到第二次世界大战末期,喷气发动机问世,飞机发展的形势要求研究高亚声速和超声速流动问题,也要求研究喷气发动机内部的流动和燃烧问题,气体动力学便应运而蓬勃发展起来了。

学科内容

从理论上研究气体动力学问题,必须首先根据自然界的基本规律(如质量守恒、动量守恒和能量守恒规律)建立流动过程中气体流速、 压强、 密度、温度等物理量所应满足的基本关系式,这些关系式就是气体动力学基本方程(见流体力学基本方程组)。基本方程可以是微分形式,也可以是积分形式。在一般情况下,方程复杂,求解也很困难。因此,在理论研究中,往往须根据具体的流动现象,对方程进行简化,从而形成各种不同的理论,如小扰动理论、细长体理论、边界层理论等。气体动力学利用所建立的基本方程研究一维或多维的连续流动、各种有突跃变化的流动以及有化学反应的流动等。

一维定常连续流动

不可压缩流动的流体密度是基本不变的,所以在理论研究中,可把运动学问题和动力学问题分开考虑。可压缩流动则不然,在流动过程中,随着流速的变化,气体的压强、密度和温度等也起变化,因而必须同时考虑运动学关系、动力学关系和热力学关系。一维定常流动的分析能够最清楚地说明这一问题。许多内流问题可以近似地作为一维流动处理。

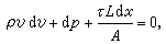
将基本方程用于无化学变化的一维定常流动,微分形式的质量方程、动量方程和能量方程分别为:

公式 符号          (1)

公式 符号         (2)

vdv+dh=dq,          (3)

式中ρ为密度;v为流速;A为流管截面积;x为流向坐标;τ为管壁上的摩擦应力;L为管截面的周长;A/L称为平均水力直径,对于圆管,A/L就等于直径Dh为比焓(单位质量气体的焓);dq为在dx管长上加给单位质量气体的外热。上述方程中包括了管截面变化、摩擦和热交换的作用。摩擦应力通常用摩擦系数f表达:

公式 符号           (4)

一维定常连续流动的几种重要的流动情况如下:

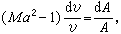
(1)绝热无摩擦的等熵流动 在这种流动中,式(2)和(3)完全相同。从式(1)、(2)得:

公式 符号         (5)

式中公式 符号为马赫数;c为当地声速。从式(5)可知,要使气流在管道里不断增大速度,在亚声速(Μa<1)时,公式 符号                    应为负,即管道应收缩;在超声速(Μa>1)时,公式 符号应为正,即管道应扩张。所以,产生超声速气流的管道(即拉瓦尔管)形状须先收缩后扩张。气流在拉瓦尔管的最小截面(即喉道)处达到声速。超声速风洞、火箭发动机、蒸汽和燃气涡轮机中都用到拉瓦尔管形状的管道。

(2)绝热有摩擦的非等熵流动 在这种流动中熵必增大。因dq=0,从式(1)、(2)、(3)和气体状态方程可得:

公式 符号      (6)

式中γ为气体的比热比。f总是正的,所以当Μa<1时,摩擦使气流加速,即公式 符号;反之,当Μa>1时,摩擦使气流减速,即公式 符号;或者说在亚声速流动时,摩擦使气流膨胀,而在超声速流动时,摩擦使气流压缩,二者都以声速为极限。亚声速气流不能靠摩擦加速成为超声速气流,超声速气流也不能通过摩擦的连续作用而逐渐减速为亚声速气流。对于某一给定的入口流动条件,流动管道有一极限长度,这就是使出口气流达到声速的长度,管道长度超过此极限长度时,气流出现壅塞,流动被迫自行调整,以使出口截面处的流动速度恰为声速。

在摩擦作用下,绝热流动的熵必增大。在温熵图 (T-S图)上,代表绝热非等熵流动过程的曲线称为范诺线,对应于每一给定的入口流动条件,有一条这样的曲线(图1)。

图

图中点1代表亚声速的入口流动;点1′代表超声速的入口流动;点2 代表亚声速的出口流动;点2′代表超声速的出口流动。点2(或2′)必在点1(或1′)的右边,这是因为(S2S1)>0。点2最远到对应于S极值S公式 符号处,这时流动达声速,即公式 符号=1。图上的水平线代表总温T0T0为常数)。

(3)一维定常非绝热流动 常见于热交换器中的流动。对于喷气发动机燃烧室内的流动,若不细致研究燃烧过程,也可以归为这一类流动。在有交换热量Δq时,气流的总比焓 h0的变化为 Δh0=Δq,总温的变化则为ΔT0q/公式 符号公式 符号为气体的定压比热)。 若略去摩擦作用(即f=0),从式(1)、(2)、(3)可得总温变化所引起的速度变化:

公式 符号       (7)

对于亚声速流动(Μa<1),加热(dT0/T0>0)时,流速增大,压强、密度都减小,静温起初上升,但在公式 符号<Μa<1的范围内,T却略有下降。对于超声速流动(Μa>1),加热(dT0/T0>0)时,流速减小,压强、密度、温度都增大。对于给定的入口流动条件,加热量有个极限,这就是使流速正好达到声速的热量。若超过此值,气流壅塞并自行调整,使出口处气流流动速度恰为声速。气流经加热,Μa1变为公式 符号,其总压必有所下降,总压变化关系为:

公式 符号   (8)

式中公式 符号公式 符号分别相应于公式 符号公式 符号。加同样的热量,总压降低的程度还取决于公式 符号的大小。对于亚声速流动,公式 符号越小,总压损失越小。对于冷却过程,dq<0,一切变化恰同加热时相反。

在温熵图上,表示热交换流动过程的曲线(图2)称为瑞利线。加热时流动参量的变化方向用箭头表示,无论亚声速流动还是超声速流动,加热都使图上的点子沿曲线向右移。极限值公式 符号对应于声速。冷却时的变化方向恰与加热时相反。

图 多维定常连续流动

各种飞行器的外流问题都属于多维流动,许多内流问题也必须按多维流动问题来处理,如压气机、涡轮机中的流动问题;飞机进气道和喷管中的流动问题等。多维流动的研究比一维流动要复杂得多,往往要根据具体的流动情况,采取不同的研究方法。如绕飞行器的外流按飞行马赫数分为亚声速流动、跨声速流动、超声速流动、高超声速流动。为了研究绕机翼的流动,有翼型理论、举力线理论、举力面理论;研究叶轮机中流动问题的理论有叶栅理论、三维流动理论等(见流体机械的内流原理)。

突跃变化

不论是一维流动还是多维流动,在整个流场上流动一般都是连续变化的,但在局部区域可能出现突跃式的变化,如激波、爆轰和爆燃等。突跃变化十分迅速,所占空间尺寸极小,与宏观尺度相比可以忽略不计,理论上可以作为无厚度的突跃面来处理,用一维流理论建立突跃变化前后诸物理量之间的关系。

有化学反应的流动

航天器重返大气层的流动问题、同燃烧有关的问题等都是典型的有化学反应的流动问题。在进入大气层时,航天器的速度约为6000~7000米/秒,相应的马赫数约在20左右。为安全着陆,必须把动能消耗掉。高速气流经物体头部激波的强烈压缩和物面周围的粘性层的粘性阻滞而消耗动能。物体头部激波后的气流温度十分高,为防止飞行器被烧毁,飞行器的头部都采用防护层。防护层的构造分外层和内层。外层物质在高温下能发生吸热的化学物理变化,或者碳化,或者融熔,或者气化;内层是隔热层,尽量不使余热传入飞行器的内部。外层在烧蚀过程中有大量物质起化学变化,有些气化,有些离子化。这些物质混入物面附近的气流中,使该处的流动大为复杂化,一般的边界层概念在这里不适用,必须考虑气流中的化学变化和组分变化,须用复杂的程序和数值计算求解(见化学反应边界层)。航天器在重返大气层时,在它的后面形成高超声速尾迹,其中含有大量的自由电子和离子,用雷达可探测到它们的存在。尾迹中电子数密度的大小、电子数的衰减速率和尾迹对雷达波的响应特性是尾迹研究的主要内容。

对于在流动中的可燃混合气体的普通燃烧问题,燃焰的推进速度具有重要的意义。流动速度大于燃焰速度时,火焰会熄灭。确定燃焰速度的完备理论要应用化学动力学和流体动力学的理论,情况十分复杂。目前化学动力学的发展水平还不能把一切有关因素都考虑进去。简化的理论有三种:热力理论、扩散理论和综合理论。热力理论认为,只要单位时间内燃烧所释放的热量大于燃后气体散给周围未燃混合气体的热量,燃烧就会继续下去。这是一种热传输主导现象的理论。扩散理论认为,只要原子和离子之类的活性粒子的生成率大于消灭率,燃烧就会继续下去。这是活性粒子扩散主导现象的理论。综合理论则认为,须同时考虑能量输运、质量输运和其他一切可能的因素。对这个问题的理论处理有两种方法:一种是侧重于流体动力学方面的关系,而把燃烧过程当作附带的因素;另一种是侧重于燃烧过程,而把流体动力学关系当作附带的因素。究竟应该侧重哪一方面,要根据具体物理现象而定。在数学上处理这个问题要解复杂的三维流动方程,这是一个难题;在化学动力学方面能否把静止状态(非流动状态)下的关系用于流动状态也是个问题。正因为理论上还有许多难题有待解决,经验公式是很有实用价值的。经验得出的燃焰速度因气体的成分及其条件而异。

其他

随着科学技术的发展,气体动力学出现了不少新的分支,如高温气体动力学、稀薄气体动力学、电磁气体动力学和宇宙气体动力学等。这些学科近年来发展很快,逐步形成了独立的学科。

参考书目
  1. H.W.Emmons,ed.,Fundamentals of Gas Dynamics,Oxford Univ,Press,London,1958.
  2. A.H.夏皮罗著,陈立子等译:《可压缩流的动力学与热力学》,上册,科学出版社,北京,1966。(A.H.Shapiro,The Dynamics and Thermodynamics of CompressibleFluid Flow, vol.1, The Ronald Press, New York,1953.)
  3. T.von Kármán, Aerodynamics, Cornell Univ.Press,New York,1954.