水动力学实验

液体动力学研究工作的一个组成部分。用仪器和其他实验设备测定表征水或其他液体流动及其同固体边界相互作用的各种物理参量,并对测定结果进行分析和数据处理,以研究各种参量之间的关系。实验的目的是揭示各种水流运动规律和机理,验证理论分析和数值计算结果,为工程设计和建设提供科学依据,以及综合检验工程设计质量和工作状态。

水动力学实验是从观测自然界和工程设施中的实际流动过程开始的,这种观测即所谓原型实验。进行原型实验,难于分别控制各种参量,而且费用高,有时甚至不可能进行,如一个水利工程或水中航行器在建成前就没有实验对象。后来,水动力学实验大都是在专门设计的实验室或实验场内用模型进行,这就是所谓模型实验。实验模型一般比原型小,也有与原型相等或比原型大的。水动力学模型实验是要研究流体某一流动特性参量同边界形状参量、流体特性参量、作用力参量之间的函数关系。在水动力学中,有些问题可用理论分析或数值计算方法求解;有些问题因物理现象复杂,基本规律还不清楚,或因边界形状复杂,而只能用实验方法研究。

水动力学实验理论

水动力学实验理论包括力学过程的模拟、实验方案的优化、测试系统的设计、实验数据的处理等问题。以下只论述第一个问题。

力学过程的模拟理论(又称模型理论)是模型实验的理论依据。模型实验的正确提法,模型实验结果转用到原型上去,都是以量纲分析和相似律为基础的。

水动力学实验主要涉及惯性力(见达朗伯原理)、重力和粘性力。 假定所考虑的问题可用特征长度L、特征速度U、流体密度ρ、重力加速度g和流体的动力粘性系数μ来表征, 则上述三种力的数量级就分别为ρU2L2ρgL3μUL。三种力大小的比例关系将随着模型尺寸而改变。但是,只有上述三种力相对大小不变,模型流动才能与原型流动相似。

根据量纲分析,在具有独立量纲的物理参量的数目为5的情况下,可组成两个独立的无量纲参数。在以上所考虑的问题中,两个独立的无量纲参数是弗劳德数FrU2/gL雷诺数ReρUL/μUL/ν(其中νμ/ρ)。前者代表惯性力同重力量级之比,后者代表惯性力同粘性力量级之比。根据相似理论,若两个流动是相似的,则两者的所有无量纲参数的值对应相等。反之,若两个流动中的所有无量纲参数值,包括边界几何参数的比值,都对应相等,则此两个流动是相似的。在只考虑惯性力、重力和粘性力的具有几何相似边界的两个流动中,若一个流动的弗劳德数和雷诺数分别等于另一个流动的弗劳德数和雷诺数,且两个流动都是定常的(对于非定常流动,则要考虑另一个代表非定常特性的无量纲参数,如斯特劳哈尔数,它在流动中的值也应相等),则其他各无量纲参数,如压力系数公式 符号、阻力系数公式 符号(p为压力,D为阻力)等,在两个流动中的值也都会相等,从而两个流动是相似的。弗劳德数和雷诺数就是只考虑上述三种力的动力相似准数。

在水动力学实验中,除了考虑上述三个主要力以外,有时还要考虑其他参量,例如表面张力和声速。在液体和气体(或固体)的交界面上有表面张力作用在液体上。表面张力作用在液面上的压力为:

公式 符号

式中γ为表面张力(0~30℃范围内水和空气交界的自由面上的γ值从0.076牛顿/米到0.071牛顿/米);R1R2是自由面的两个主曲率半径(曲率中心在曲面外面时为正)。由上式可知,只有在液面曲率很大(曲率半径很小)时,如在毛细流动、空化起始过程和涟波运动中,才要考虑表面张力。表示惯性力同表面张力量级比值的相似数是韦伯数We

We=ρU2L/γ

为了减小表面张力不相似的影响,水动力学实验中实验模型缩比不能过小。

水动力学实验中另一个相似数马赫数是反映流体的弹性或可压缩性的无量纲参数,定义为:

公式 符号=v/c

式中v为流动速度;c为流体中的声速。水中声速约为1500米/秒,水动力学中经常遇到的流速比此值小很多,因此,水动力学实验大多是不考虑马赫数的。

当流速比较高或压力比较低以致流场中有气泡存在时(如入水、出水时),水动力学实验中还要引进代表空泡内外压力差(p-pc)的无量纲数,即空化数:

公式 符号

式中p为流场内的特征压强;pc为空泡内的压强。当空泡中的介质主要为液体蒸气时,pc=pvpv为流场介质的饱和蒸气压强。当空泡中同时有气体和液体蒸气时,pc=pg+pvpg为气体分压。空化数是表示水流是否容易发生空化的参数,空化数愈小愈容易发生空化。

水动力学实验特点

有以下四个方面:

(1)液体密度比气体大得多,如水的密度约为空气的800倍。在同样的速度下,水流的动压力和驱动水流所需的功率也都远大于气流。这就要求测量水流场的仪器的支杆和传感器的某些零件有较大的强度和刚度。用实验方法测量水的附连质量是水动力学的一个重要内容。

(2)液体常有和气体交界的自由面。水体因为存在自由面而出现一些复杂现象:如风吹过水面和舰船(包括气垫船等)在水面航行所引起的波动;鱼雷和导弹入水、出水所引起的水面扰动;海流和潮汐运动;高速水流引起的水气二相流;容器和明渠中的无压流等。在这些情况下,重力起重要作用,有时表面张力也不能忽略,又因存在粘性力,就要求在模型实验中有两个或两个以上的无量纲参数同原型的相等,从而带来不少困难。为此,常先满足弗劳德数相等的条件,再修正其他因素的影响。

(3)液体会蒸发。当液体温度升高、压力降低时,蒸发速率增大,甚至出现剧烈相变现象。液体流场内某一区域压力降低到该液体饱和蒸气压力(饱和蒸气压力同液体的种类和温度有关,如15℃时水的饱和蒸气压力为0.0169大气压)以下,就会出现空化现象。空化现象出现以后,流场不再是连续相,一部分为空泡所占据,这就是有空泡的流动(见空泡流理论)。在工程上,水流(如过水坝和其他水工结构中的水流)或物体(如水翼、船的螺旋桨和舵、水下导弹和鱼雷等)运动速度提高,就会出现空化现象和空泡流动。空化起始与空泡流动的实验是水动力学实验的重要内容。空泡实验的常用设备有各种类型的水洞和变压空化拖曳水池。任何空化实验设备都必须能改变空化数σ的值,本身的起始空化数越小越好,以便进行起始空化数小的模型实验。降低空化数的常用方法是降低水流压力。因此,水洞的循环水管必须是气密的,可抽真空,也可加压进行深潜物体实验。

(4)水动力学模型实验不能同时作到弗劳德数相似和雷诺数相似。若模型实验中的g值与原型的相同,即kg =gg/gm=1,则当模型缩小为原型的1/公式 符号时(公式 符号=lp/l,下标m表示模型量,p表示原型量,下同),模型速度必须降低为原型速度的公式 符号,才能保持弗劳德数Fr不变。若模型实验中所用的流体与原型的相同,则当模型缩小为原型的1/kl时,模型速度必须加大为原型的kl倍,才能保持雷诺数Re不变。由此可见,不改变流体种类和(或)重力场就不可能做到雷诺数和弗劳德数同时相等。

很多水动力学模型实验不能做到雷诺数相似的另一个原因是模拟对象有尺寸大于模型的特点。例如,原型船速为12节,即vp≈6米/秒,模型长度取为原型的1/20,模型实验介质用与原型相同的水。为了做到雷诺数相似,模型速度就必须为240节,即v=120米/秒。为了消除在这样的速度下将出现的空化现象(因原型中无空化现象),必须把实验空间的压力增加到几十个大气压,这是难以做到的。对于高速船,这种情况就更严重。

水动力学实验示例

以下列举几个实例说明水动力学实验理论如何应用于实际。

排水量船阻力实验

D表示总阻力,S表示湿面积,根据对此问题的理解,应用量纲分析方法得出,在几何相似条件下,有下列关系:

公式 符号

FrRe在原型和模型中相等的条件是不能同时满足的,实验中常维持Fr在原型和模型中相等。为了解决Re不等的问题,弗劳德把CD近似地写成:

公式 符号

式中CD为总阻力系数;CF为当量平板摩擦阻力系数;CR为剩余阻力系数。剩余阻力包括兴波阻力和粘性形状阻力。若雷诺数超过临界值,可以认为形状阻力是自相似的,与雷诺数无关。于是剩余阻力系数只是弗劳德数的函数。因Fr值不变,故原型和模型的CR值相等,即

公式 符号

原型和模型的CF值可根据休斯曲线或ITTC(国际拖曳水池会议)曲线求出。模型的CD值求出后,即可由上式计算原型的CD值。

船和水中武器运动性能实验

这类实验须考虑动体的总质量m,转动惯量IxIyIz,重心坐(xcyczc)和浮心坐标(xbybzb)。相似参数包括m/ρL3Ix/ρL5Iy/ρL5Iz/ρL5Ixy/ρL5Iyz/ρL5Ixz/ρL5xc/Lyc/Lzc/Lxb/Lyb/Lzb/L。这些实验要在拖曳水池、旋臂水池、耐波性水池、风洞、水洞和出入水实验室等设备内进行。

螺旋桨推力和扭矩实验

螺旋桨的推力T和扭矩Μ决定于螺旋桨的直径D、螺距H、盘面比θ、桨叶数Z和其他一些代表螺旋桨几何特征的具有长度量纲的几何参量l1l2,…,ln;螺旋桨的运动学参量:前进速度v,转数n,来流静压力p0,水的密度ρ,饱和蒸汽压pV和动力粘性系数μ以及地球重力加速度g

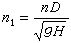
这种实验引进一个新的无量纲相似数──进速比λv/nD,代表螺旋桨前进速度v和桨叶叶梢周向速度u=πnD的比值。根据量纲分析理论,有:

公式 符号

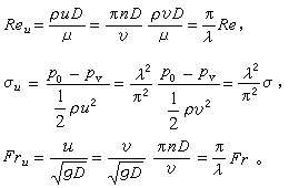
式中ReuσuFru分别为按叶梢速度u计算的雷诺数、空化数和弗劳德数,它们与按前进速度v计算的值有如下关系:

公式 符号

因此,对于几何相似的螺旋桨,也可以以下式代替式(1):

公式 符号

式中公式 符号

如果在给定的运行条件下螺旋桨不出现空化,则静压力p0不是T和Μ的决定因素,因为不管它的值怎样变化,合力总等于零。这时,式(1)和式(2)中不出现空化数σ。如果螺旋桨在水面下足够深,则水的重量对螺旋桨也无明显影响,弗劳德数也可不计。螺旋桨实验是在水洞或(和)拖曳水池内进行的。

撞水实验和入水实验

物体从空气中经过气水交界面进入水中的过程称为入水;物体与自由水面碰撞但并不穿过水面完全进入水中,称为撞水,撞水是入水的初期过程。水上飞机在水面上降落,航天飞船仪器舱和座舱在海面上溅落都是撞水的实例,而鱼雷和反潜导弹则都有入水过程。

速度不高的撞水实验的参量有:代表撞水物体几何形状的具有长度量纲的几何参量l1l2l3,…和特征长度L,入水物体重心的坐标xcyczc,质量m,转动惯量I;与撞水运动开始状态有关的参量,如入水角θ0,初始攻角δ0,初速度v0,初始角速度ω0;重力加速度g,水的密度ρ和动力粘性系数μ。撞水和入水是非定常运动,所以还必须包括时间tt=0为撞水初始瞬时)。与上述各参量对应的相似参数为:l1/Ll2/L,…,ln/Lθ0δ0v0t/Lω0L/v0xc/Lyc/Lzc/Lm/ρL3I/ρL5公式 符号Reρv0L/μ

因为撞水具有冲击性质,惯性力是主要的,雷诺数可以忽略。钝头物体高速撞水要考虑水和空气的可压缩性;模型的弹性也要作到相似。这时可忽略弗劳德数,而考虑马赫数。

对于高速物体入水实验,除上述相似参数外,还要考虑空泡数。入水物体尾部的空泡与一般空泡不同,前者中的气体主要是尾随物体冲入水中的空气,水面上空气的压力pa和密度ρa是重要参量。为使空泡数不变,必须降低模型实验中的水面压力,但压力一降低,水面上空气的密度会随着降低,从而破坏了空泡闭合过程的相似。为了做到空泡闭合过程相似,入水实验中采用重气体。若模型很小,为使韦伯数不比原型值小很多,常在水中加微量气溶胶以减小表面张力。入水实验需在专门设备中进行。

出水实验

水中发射的物体从水下经过水气交界面进入空气中的过程称为出水。出水实验原理与入水实验接近,但是还要考虑水下发射过程的相似问题。目前水下发射系统都采用高压气体发射,发射过程的相似问题与发射气体的性质及其工作过程有关,与发射系统的运动(如潜艇的运动)也有关。

出水实验大部分是在专门的出水实验室内用模型进行的,也有一部分是在发射场或实艇上用1:1模型或实物进行的。出水实验和入水实验设备常建成一体。

水工建筑物模型实验

水工建筑物设计的主要问题是泄水建筑物下泄流量是否足够,压力分布如何,是否会引起空蚀,泄洪时能否避免冲刷等。除研究空化和空蚀问题外,实验一般在大气压力下进行。模型实验中除满足几何相似条件外,只能使弗劳德数Fr与原型值相等,使雷诺数Re大于某一临界值,以使流动特性不再随该数明显改变。以流量系数CQ为例,Re大于临界值时,

公式 符号

式中Q为流量;A为过水面积;H为水头。将模型中CQ值用于原型,即可求得流量。

进行有关空化的实验时,必需使原型和模型的空化数相等。设H为某一特征水头;p为水面所受的压力;pv为饱和蒸汽压;γ为比热比;下标p和m分别表示原型和模型,则空化数相等的条件为:

公式 符号 。   (3)

如满足Fr相等条件,则

公式 符号

代入式(3),得:

公式 符号

如原型和模型中的饱和蒸汽压相等,即公式 符号,则上式说明模型水面上的压力必须近似等于原型值的1/kl。要做到这一点,必须把模型放在密闭箱中,进行减压实验。这种设备称为减压箱(图1),它是为了较大模型的实验而设计的,至于局部的减压实验可以在水洞中进行。

图

为工厂冷却用水兴建的水工建筑物,还需要考虑有关热力学问题(如蒸发散热问题和温差引起的对流问题)的相似条件。引进热力学参量后,会包括其他无量纲相似数。

水利工程中的另一类实验是大面积的河道和水库模型实验。如果水平方向和铅直方向的缩尺比相同,则水深太浅,不能满足雷诺数相等的要求,模型实验的流动同原型就会很不相似。因此,水平和铅直方向的缩尺比常用不同的值,使模型水深不致太浅,这种模型称为变态模型。在这种情况下,水底糙度又会太小,必须人工加糙。动床模型(河底是由可以冲淤的砂石铺成的),可用来研究泥沙水流的冲淤问题。这时实验的参量必须包括能反映泥沙水流特性的参量。

水力机械功率实验

水轮机能产生多大功率、水泵需要多大功率都是重要的实验课题。今就水轮机的功率实验为例加以说明。设水轮机和流道的几何形状由长度l1l2,…和直径D决定;通过水轮机的流量Q除同gμ和水头H有关外,还同每秒转数n有关。因为空化是水轮机运转中的重要问题,参量中还须包括水的饱和蒸气压pV。流量的函数关系可写成:

QQ(l1l2,…,DHngμpV),

组成无量纲的参数后可得:

公式 符号

同样,对于功率P可得:

公式 符号

Q1P1分别称为单位流量和单位功率;公式 符号称为单位转速,具有表征周期运动的斯特劳哈尔数的形式。也可分别组成只包括nPHnQH的两个无量纲参数,称为比转速nS,其形式分别为:

公式 符号

和   公式 符号

模型实验常做不到使模型的全部无量纲参数和原型相等,有时只能维持Q1值相等。为了使空化数σ相等,需要控制模型的水面压力。因为不能满足全部相似条件,实验得出的模型机的效率或功率仍需用经验公式修正才能换算到原型机。原型机的效率常高于模型机。试验设备见图2。

图 尺度效应

因部分无量纲参数相等的条件不能满足而使模型实验结果与原型的对应量之间存在差异,这种差异的组合称为尺度效应。在水动力学实验中,很难做到所有无量纲相似数都与原型的值对应相等。设πi(i=1,2,…)是未做到相似的无量纲组合参数,即πimπip。这样将破坏相似条件,且规定πi的量在实验对象中越重要,πimπip值相差越大,相似性遭到破坏的程度就越大。实践中有很多根据经验得出的方法可用来修正实验结果。估计尺度效应的大小,寻求适当的修正方法,或寻求减少尺度效应的实验方法,都是重要的研究课题。