[拼音]:taiyangxinei de yinli dinglü
[外文]:law of gravitation in solar system
太阳系内各天体之间引力相互作用所遵循的规律。十七世纪六十年代,牛顿首先研究月球的运动,发现它基本上符合平方反比规律。但是,牛顿不知道如何计算有限体的引力,这就使他的研究拖延下来。就在牛顿进行这些研究的同时,哈雷、雷恩和胡克等好几位学者也都认识到:如果行星轨道是正圆,那么开普勒第三定律就包含了平方反比定律。但他们不知道当行星沿椭圆运动时,向心加速度该怎样计算,于是便向牛顿求教。牛顿证明:在和距离平方成反比的引力作用下,行星的运动将符合经验的开普勒定律。接着牛顿又完成了他对月球运动的计算。这样,经过二十多年的研究,牛顿提出了一个描述宇宙中物体之间相互作用的定量的物理定律。对于当时的观测技术来说,牛顿万有引力定律以惊人的精度解释了太阳系天体的运动。十九世纪中叶,英国J.C.亚当斯和法国勒威耶根据对天王星运动的研究,彼此独立地以1°的精度预报了海王星的位置。这是牛顿万有引力定律的一个辉煌成果。但是随着观测技术的发展,以牛顿万有引力定律为基础的大行星运动理论逐步暴露出一些不足之处,在实际观测值与理论计算值之间出现了系统的偏差,其中最突出的是水星近日点进动问题。这就不免引起人们对牛顿万有引力定律的怀疑,由此导致一系列的研究。
人们对平方反比定律提出了疑问:引力定律
中的n是否正好等于2?勃特兰首先认为n应大于2。A.霍尔支持这种思想, 他根据对水星的研究具体地定出 n=2+1.6×10-7。纽康根据对四颗内行星的研究,得出n=2+1.574×10-7。纽康的这一结论尽管未给出任何物理解释,但至今仍在许多天文年历中使用。可是,当人们用这一结论来研究月球的运动时,又出现了矛盾。E.W.布朗根据多年的研究指出:牛顿万有引力定律完全符合月球的运动情况;如果n大于2的话,那最多也不会超过4×10-8。
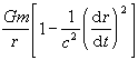
十九世纪电磁理论的进展推动了整个物理学的发展,同时这种理论也被应用于研究天体运动。韦伯首先提出,质量为m物体的引力势应表示为:
。
接着黎曼提出,万有引力应改为:
。
此外,拉普拉斯在早些年代里也探求过引力传播速度和宇宙间介质对引力的吸收问题。尽管这些理论都未能被天文观测证实,都未能全面充分地解释天体的运动,但它们对引力的物理本质却进行了许多有意义的探索,并将场与辐射等概念引入引力研究的范畴。
1915年爱因斯坦提出著名的广义相对论,把引力解释为空间的属性。广义相对论更好地解释了各大行星近日点的进动,但它对太阳系天体运动理论的影响远远不止于此。当前,在大行星星历表的计算中除了考虑万有引力外,还考虑了广义相对论的引力非线性迭置效应和行星引起的空间弯曲。
在牛顿万有引力定律中还有一个令人注意的问题:引力常数G到底是不是常数?如果G在减小,那就意味着引力在减弱(见物理常数的变化)。1937年狄拉克提出:引力常数将与宇宙年龄成反比。此外,还有几种以马赫原理为基础的引力理论,在这些理论中,科学家们都预言 G随着宇宙年龄的增长而减小。但这些都只是哲学性的探讨。弗兰登根据他近二十年来对月掩星的研究,发现月球有一个难以解释的加速度。他在排除了太阳风、辐射压、电磁效应、行星际物质阻尼以及太阳的质量损失等各种因素对月球运动的影响后提出:这是由G的减小而引起的。同时他还解释了原来地月系潮汐理论中遗留下来的一些疑难。当前对这个问题看法还很不一致,有待进一步的检验。