核酸

一种生物高分子(见高分子化合物),为重要的生命基础物质之一。它具有储存、复制生物体遗传信息和控制蛋白质合成等主要生物功能。核酸常与蛋白质形成复合物──核蛋白体,并以这种复合物来协调生命活动。核酸分为核糖核酸RNA和脱氧核糖核酸DNA两大类。前者的分子量为104~106,后者的分子量为106~109

发现

1869年J.F.米舍尔首次自脓细胞中分离得到一种含磷的、酸性的细胞核物质“核素”;以后又在对鲑鱼精子的研究中,发现分离出来的精子头部含有一种酸性化合物,现在称之为核酸。随后经过R.奥尔特曼、A.科塞尔、E.费歇尔、P.A.T.莱文等化学家的不断研究,人们对核酸组分的结构有了较清楚的认识。1944年O.T.艾弗里研究肺炎双球菌转化现象的化学本质,发现这是DNA从一种类型细胞转入另一种类型细胞的结果,从而揭示了生物的遗传性状与DNA有关。

1953年J.D.沃森和F.H.C.克里克提出了脱氧核糖核酸分子的双螺旋模型,并解释了核酸分子的自身复制和遗传的保守性。1961年F.雅各布和J.莫诺提出了大肠杆菌乳糖操纵子基因表达的调节控制机理。后来又有许多科学家破译了遗传密码,测定了许多核酸的一级结构,完成了几个具有生物活性的核酸分子的合成,并且成功地发展了遗传工程技术,利用生物体生产特殊的蛋白质、多肽激素,从而发展了分子生物学,使人们可以在分子水平上研究生命现象。

在自然界的分布及其分离

动植物细胞和除病毒以外的微生物都含有RNA和DNA。一般情况下,植物病毒(包括类病毒)只含有RNA,细菌病毒(即噬菌体)只含有DNA,动物病毒则两者都有。

核酸的分离,一般可以通过用冷的酸液处理细胞,分去其大多数酸溶性组分,而获得酸不溶的RNA和DNA。

核酸存在于细胞核和细胞质中,DNA主要分布在细胞核中,凡细胞核均有DNA,当细胞分裂时,DNA只能在染色体中找到。生物愈高级、复杂,DNA的含量愈高,在真核细胞的线粒体和叶绿体中也发现有很少量的DNA(约占总量的0.1%~0.2%),此外,还有极少量的随体DNA存在于细胞质中。大多数细胞的RNA存在于细胞质中,一小部分在细胞核中。

RNA有四种主要的类型:

(1)核蛋白体核糖核酸 rRNA,约占总RNA的80%,它们以与蛋白质结合的方式存在于核糖核蛋白体(简称核糖体)中,核糖体在细胞中以显微颗粒状附着于内质网上;

(2)转移核糖核酸tRNA,约占总RNA的15%,以游离的状态存在于细胞质中;

(3)信使核糖核酸mRNA,寿命很短,含量也少,约占2%;

(4)核内核糖核酸nRNA。前三种存在于各种生物细胞中,最后一种只有少量存在于真核细胞中。

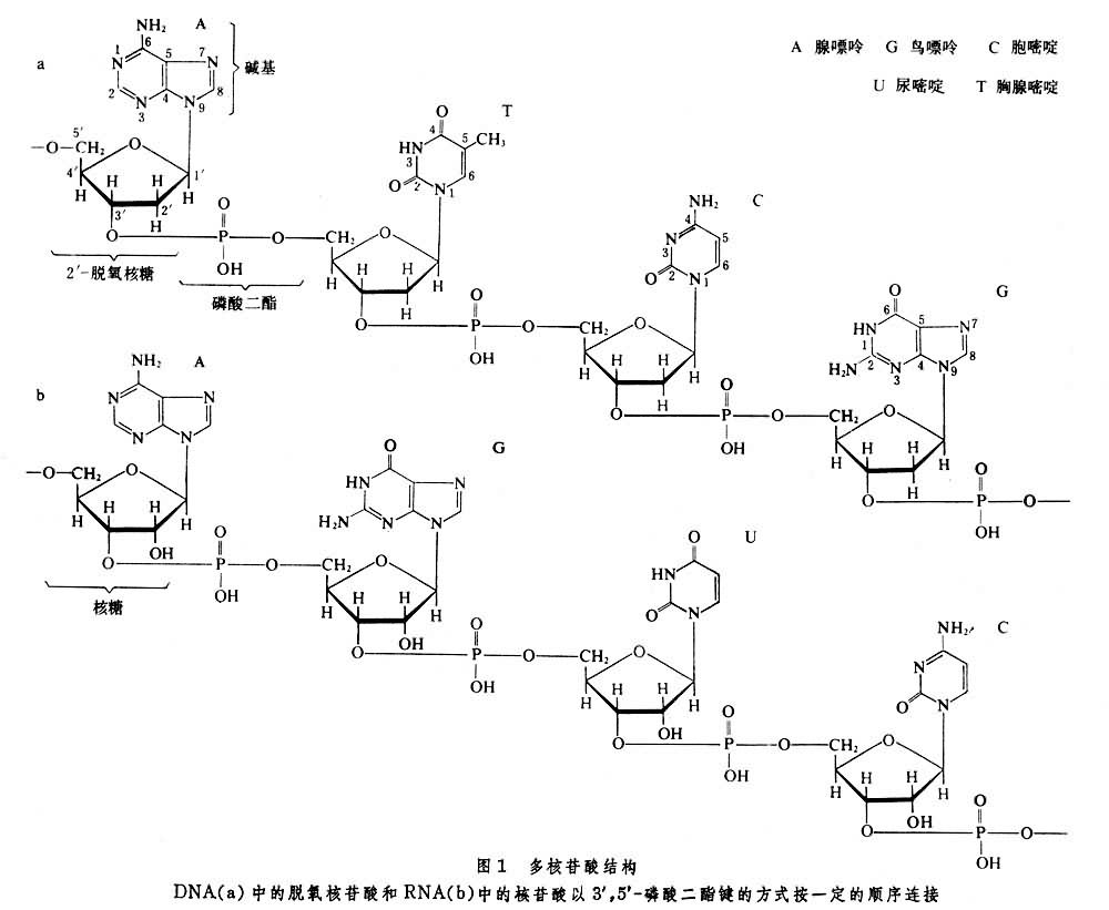
图1

化学组成

核酸经酸或碱水解可以得到磷酸、戊糖(见碳水化合物)和嘌呤、嘧啶类杂环生物碱的混合物。经A.R.托德等研究确定,核酸是由核苷酸以3',5'-磷酸二酯键的方式按一定顺序连接而成的线型高分子(图1)。(见彩图)

图 喜树。从喜树的根、果、叶中可提取喜树碱 图 麻黄。从麻黄茎枝中可提取麻黄碱 图 毒蕈。可提取蕈毒碱 图 罂粟。从罂粟果中可提取罂粟碱

在RNA分子中, 戊糖是D-核糖,主要的碱基是碱基是腺嘌呤(A)、鸟嘌呤(G)、胞嘧啶(C)和尿嘧啶(U)。另外在tRNA中还发现许多修饰(或稀有)碱基,如双氢尿嘧啶、胸腺嘧啶 (T)、次黄嘌呤和各种甲基化的腺嘌呤、鸟嘌呤和胞嘧啶等。

在DNA分子中,戊糖是2′-脱氧-D-核糖,主要的碱基是A、G、C和T。在某些细菌病毒的DNA中,5-羟甲基胞嘧啶代替了C,其羟基还往往被1~2个葡萄糖取代;在麦芽中还发现有少量5-甲基胞嘧啶等。

RNA和DNA 的基本结构单元是核苷酸〔或称核苷(脱氧核苷)磷酸(酯)〕,其中嘌呤、嘧啶碱杂环内的氮原子和糖分子的C1原子连接成相应的核苷,后者的3′-或5′-羟基被磷酸酯化。这些核苷按照碱基命名,如腺核苷、鸟核苷、胞核苷和尿核苷等。天然游离的核苷酸的磷酸一般键合在核糖的5′-羟基上,有时也以 3′-或3′,5′-环磷酸酯键的方式存在。

结构测定

核酸的基本结构单元是核苷酸,如DNA分子主要由腺脱氧核苷酸、胸脱氧核苷酸、胞脱氧核苷酸和鸟脱氧核苷酸四种脱氧核苷酸组成。这些核苷酸在不同的核酸分子中出现的次数和排列次序是不同的,因而能形成无数的核酸。RNA分子也有相似的组成,主要区别在于它的戊糖组分是核糖。核苷酸在核酸分子中的排列顺序,即核酸的一级结构,决定了每个核酸分子的性质。

图 一级结构测定

1965年,R.W.霍利等人用重叠法第一次测定了含有76个核苷酸的酵母丙氨酸转移核糖核酸tRNA公式 符号,他们将分离纯化的核酸分子用特异性的核糖核酸酶部分酶解成小片段,每段约有2~10个核苷酸,经层析分离纯化,分别测定其组成和一级结构,然后用片段拼接重叠的方法得到整个分子的顺序。1977年F.桑格等用DNA聚合酶拷贝法测定了噬菌体 ФX-174DNA的一级结构(有5386个核苷酸)。在这一基础上又发展了用各种直读法来测定核酸的一级结构。直读法就是首先将 DAN大分子用限制性内切酶在特定的识别部位降解成链长约为200个核苷酸的各种大片段,这些大片段经过分离纯化后,分别进行选择性部分降解(酶解或化学降解)或部分复制,得到四组具有特定切开部位(A、G、C、T)的不同链长的核酸混合液, 经同位素标记(见放射性标记方法)或者事先在整分子阶段用同位素标记,然后用聚丙烯酰胺凝胶电泳,在同一块凝胶板上同时电泳分离这四组核酸混合物,最后就可以在这张电泳图谱上直接根据电泳条带的先后次序读出被分析的核酸大片段的顺序(图2)。由于直读法的效率很高,目前RNA的顺序也大多采用直读法或反向转录成DNA来测定。从图中放射性条带自下而上可以直接读出被测定的片段的顺序:

32pd(CATAAGCTCGCGTTGATTAAG…)

二级结构和空间结构测定

沃森和克里克在L.C.鲍林提出的蛋白质分子具有α-螺旋的结构模型的启发下,分析了DNA晶格的X射线衍射图谱,于1953年3月18日提出DNA双螺旋结构模型。(见彩图)

脱氧核糖核酸(DNA)分子结构模型

该模型的要求可归纳为:

(1)DNA大分子具有右旋的双螺旋结构。

(2)两条DNA链互为反向平行,通常以C公式 符号→O─P─O→C公式 符号作为正方向。

(3)构成 DNA分子的四种脱氧核苷酸碱基分别以A-T,G-C的方式配成互补的碱基对(图3),

图

其平面与螺旋轴垂直,一条链上的碱基都是与另一条链上的碱基配对。

(4)天然 DNA分子中碱基对两侧的C媷之间的平均距离是10.95埃,两者之间的联线与糖苷键构成的夹角平均值为51.5°。每个碱基对的平均旋转角是36°,10个碱基对形成一圈螺旋,碱基对之间的轴向距离为3.4埃,所以螺距为34埃。

(5)在DNA分子中,垂直于螺旋轴有两个独立的双重对称旋转轴,其一在碱基对平面上,其二在上下互为重叠的碱基对平面之间。

(6)碱基对由于NH…N或NH…O结构中氢键的作用而靠近螺旋轴,紧密在聚集在轴附近。与此相反,糖-磷酸酯骨架以膨胀出来的形状位于螺旋的外侧。这样,DNA双螺旋的构型会由于滑移的塑变而形成交替的大沟与小沟。

对几种tRNA的二级结构与空间结构的研究结果表明,tRNA具有三叶草型的二级结构(图4)。

图

功能

生物遗传性和DNA的复制

DNA是生物细胞的遗传物质,当细胞分裂时,首先是 DNA的双螺旋在解链酶作用下局部解开,此时分开的部分分别作为模板,在DNA聚合酶作用下以细胞内存在的4种脱氧核苷三磷酸为原料复制出两个新的双螺旋,并在这两个新生的DNA双螺旋分子作用下逐步形成两个子细胞,直至分裂完成。这两个子细胞所含的DNA与母体的完全相同。两条新的DNA双螺旋中各含有一股来自母体的DNA链。

控制蛋白质的生物合成

DNA控制蛋白质的生物合成是通过RNA来进行的,而一个生物细胞内的RNA一般是以DNA为模板,在依赖DNA的RNA聚合酶作用下合成的,这个过程称之为转录。

当需要合成某一种蛋白质时,细胞核内的DNA把要合成的蛋白质的有关遗传信息转录成mRNA,此mRNA进入细胞质后与细胞质中存在的核糖体结合,此时细胞质中与20种氨基酸相应的各种tRNA即按mRNA的指令携带特定的氨基酸逐个依次进入核糖体,合成为具有特定氨基酸排列顺序的蛋白质,这个过程称为翻译。后来,又发现了反向转录酶等能由RNA转录成DNA。

蛋白质的生物合成是由“4 个字母的核酸语言”翻译成“20个字母的蛋白质语言”的过程,两者的关系就是所谓的遗传密码。在常见的20种氨基酸中,每种氨基酸都至少有一个三核苷二磷酸的密码子,称之为三联密码。H.G.霍勒纳等用化学合成的多聚核苷酸作为mRNA,在体外无细胞蛋白质生物合成体系中合成相应的多肽,比较多肽产物与多聚核苷酸的结构关系,破译了遗传密码。另外,利用化学合成法又合成了64种三核糖核苷二磷酸,将这些合成的三核糖核苷二磷酸(三联体)逐个加入到核糖体和多种14C氨酰化tRNA体系中,观察哪一种14C氨酰化tRNA被结合,从而确定三联体与氨基酸的对应关系。通过类似的实验方法终于揭示了遗传密码表(见表)。从表中可以看到,对应于一个氨基酸可以有几个三联密码子,但这几个三联密码子的前两个字母是相同的,第三个字母是可变的,称为遗传密码摆动规律,表中的遗传密码经过实验证明是普遍适用的。

图

人工合成

目前采用有机合成和酶催化连接相结合的方法,即短的核酸片段用有机化学方法合成,然后在连接酶催化作用下将这些短片段连接成更长的核酸片段,直到合成整个核酸分子。

化学合成目前主要采用带保护基的低聚核苷酸合成法,即以核苷或核苷酸为原料,通过一定的化学反应将它们分子中不希望参与反应的活性官能团用适当的保护基封闭起来,只留下允许反应的活性官能团,然后在无水溶剂中,用缩合剂使一分子保护的核苷酸(或保护的低聚核苷酸)的3′-或5′-磷酸基(称为磷酸基组分)与另一分子保护的核苷酸或核苷的5′-或3′-羟基(称为羟基组分)缩合,形成以3′,5′-磷酸二(三)酯键连接的低聚核苷酸,最后脱去保护基即得合成的多聚核苷酸。用磷酸三酯法合成低聚核苷酸的基本反应式如下:

公式 符号

式中R1,R3,R4为保护基;R2=H或2′-O-保护基。产物c可进一步3′-磷酸化,成为磷酸基组分,再与另一个羟基组分缩合,向3′-端延伸,或者选择性脱去5′-O-保护基R1,成为羟基组分,与另一磷酸组分缩合,向5′-端延伸。最后脱去全部保护基,可分离纯化得到与天然的核酸降解片段一致的低聚核苷酸。

这种带保护基的低聚核苷酸合成法,由于保护步骤繁杂,缩合步骤又多,分离纯化工作量大,有一定的局限性。目前用这种方法合成最长的一定顺序的 DNA片段是三十一核苷酸,RNA片段是二十核苷酸。近来发展了固相合成法,又使用自动固相核酸合成仪器,使核酸合成效率显著提高。

1967年发现了DNA连接酶,1972年发现了T4RNA连接酶,两者分别用于连接有机合成的低聚核苷酸片段,把核酸合成工作推进到合成有生物活性的核酸的水平。DNA连接酶是:通过碱基配对将两个要连接的DNA片段相邻地固定在DNA模板上,使一个带5′-磷酸的DNA片段(称为供体),对另一个带3′-羟基的DNA片段(称为受体),进行磷酰化反应,形成3′,5′-磷酸二酯键,使两个DNA片段连接成更长的片段,这种方法已成功地用于遗传工程所需的各种结构基因的合成和DNA的重组。T4RNA连接酶不需要模板就可以使低聚RNA片段的5′-磷酸供体与低聚RNA受体片段的3′-羟基进行磷酰化反应,从而使两个低聚 RNA片段连接成更长的片段。中国科学工作者就是用T4RNA连接酶将化学合成的低聚RNA片段逐步连接,合成了具有76个核苷酸链长的tRNA公式 符号

参考书目
  1. J.D.沃森著,《基因的分子生物学》翻译组译:《基因的分子生物学》,科学出版社,北京,1982。(J.D.Watson,Molecular Biology of the Gene,2nd ed., Benjamin,New York, 1970.)
  2. J.N.达维生著,生物物理研究所二室《核酸的生物化学》翻译小组译:《核酸的生物化学》,科学出版社,北京,1983。(J.N. Davidson,The Biochemistry of the Nucleic Acids, 8th ed., Academic Press, New York, 1976.)

参考文章