[拼音]:daqi zhong de zuoyongli
[外文]:force of action in atmosphere
研究大气运动时,必须了解大气中气块受力的情况。大气中的作用力,主要有重力、气压梯度力、科里奥利力、粘性力和阿基米德浮力等。
重力地心引力和离心力的合力,称为重力。单位质量气块所受的重力g,即为重力加速度,可表示为
式中
分别为单位质量气块所受的地心引力和离心力,r是从地心到气块的位矢,r=喣r喣,G为引力常数,mE为地球的质量,GmE=3.986005×1014米3/秒2为引力参数,r0是地球自转轴到气块的位矢,ω=7.292×10-5弧度/秒为地球自转角速度。g与fa的方向有微小的差别(见图)。
重力场是位势场,可表示为
=-墷Ф式中Ф ≈gz(z为高度,g=喣g喣)为重力位势,简称位势,墷Ф 为位势梯度。因此,重力垂直于等位势面,且从高位势指向低位势。
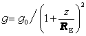
在同一纬度上,重力加速度g的值随z 的增加而略为变小:
式中g0为该纬度海平面上的重力加速度,RE为地球平均半径。在同一高度上,g 随纬度φ 的增加而增加。以海平面上的重力加速度为例:g0(φ)=g0e(1+0.00530244sin22φ-0.00000585sin22φ)式中g0e=9.78032677米/秒2为赤道海平面上的重力加速度。
在海平面上,极地和赤道的重力加速度差约为0.052米/秒2;在北纬45°处,海平面上和20公里高度处的重力加速度差约为0.062米/秒2。由于这些差别很小,故在研究大气运动时,可以忽略不计。这样,在造成天气现象的高度范围内(z ≤20公里),重力加速度通常采用:
g≈9.8米/秒2
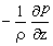
气压梯度力由于气压在空间的分布不均匀,而作用于气块上的力,称为气压梯度力。单位质量气块所受的气压梯度力可表示为
式中ρ、P 分别为空气密度和气压,墷P 为气压梯度。气压梯度力和等压面垂直,且从高气压指向低气压,它的大小和气压梯度的数值成正比,和空气密度成反比。
水平方向的气压梯度力为
式中墷hP为等高面上的气压梯度。由此式可知,水平气压梯度力垂直于等压线,且由高气压指向低气压。
气压梯度力的铅直方向分量为
。
由于地球的自转以及气块相对于旋转地球运动的速度不为零,气块将具有垂直于运动方向(相对于地球)的加速度,称为科里奥利加速度。这说明气块受到一种惯性力的作用,这种力称为科里奥利力。单位质量气块所受的科里奥利力为
其中ω为地球自转角速度矢量,α为空气相对于地球的速度矢量。科里奥利力的方向既和ω垂直,又和α垂直,即垂直于ω和α所构成的平面。在北半球,它垂直于速度矢量且指向其右方,在南半球则指向其左方。
科里奥利力和程度矢量垂直,说明了它对运动的气块不作功,对气块能量无所贡献,只能改变气块运动的方向,而不能改变其速度的大小。因此,又称科里奥利力为地转偏向力。倘若气块无铅直运动,则其科里奥利力为
其中αh=ui+αj是空气的水平速度矢量,即风矢量,i、j、k分别为东西、南北和铅直方向的单位矢量;φ=2ωsinφ(φ为纬度,ω=喣ω喣)称为科里奥利参数,它随纬度而变,在极地最大,在赤道为零,在北半球为正,在南半球为负。
空气运动的性质和一般非旋转流体运动的性质有极大的差别,其主要原因之一,就在于空气随地球旋转要受到科里奥利力的作用。
粘性力由于空气速度在空间的分布不均匀,气块和邻近的空气发生相对运动,引起动量输送而使气块受到的力,称为作用于气块的粘性力,又称摩擦力。
粘性力有两类:
(1)分子粘性力,它体现了分子运动时的动量输送作用;
(2)湍流粘性力,它体现了湍流运动对动量输送的作用。在通常的大气运动中,前者比后者小得多,可以忽略不计。除靠近地面的大气边界层以外,特别是在离地面1~1.5公里以上的自由大气中,一般不考虑粘性力对气块运动的作用。
阿基米德浮力由于气块内和周围流体密度不同而产生的一种浮升力,称为阿基米德浮力,简称浮力。浮力和重力方向相反,大小等于物体(或气块)所排开流体的重量(阿基米德原理)。设气块和环境空气的气压、密度、容积、温度分别为P、ρ、V、T 和圶、孒、堸、堟,依阿基米德原理,单位质量的气块所受的浮力fb为
令浮力和重力之差为单位质量气块所受的净阿基米德浮力φ娔,则:
其中ρ′=ρ-孒,表示气块和环境空气的密度差。
假定气块和环境空气的气压相同,那么,利用理想气体状态方程,可把上式改写为
式中T′=T -堟 表示气块和环境空气的温度差。如果气块比环境空气的温度高(或气块比环境空气的密度小),则净阿基米德浮力将使气块上升,反之,气块比环境空气温度低(或气块比环境空气的密度大),则净阿基米德浮力将使气块下沉(见大气动力方程)。