[拼音]:Bo’er qingyuanzi lilun
[外文]:Bohr’s hydrohen atom theory
阐述氢原子结构的半经典理论。是N.玻尔结合了M.普朗克的量子概念、里德伯-里兹组合原则和E.卢瑟福关于原子的核式结构模型,于1913年提出来的。玻尔理论的基本假定是:
(1)原子核外的电子,只能在一系列无辐射的定态轨道上运动,这种特殊的力学平衡状态可以用经典力学方法处理。
(2)当一个原子从一个能量为Ei的定态,跃迁到另一个能量为Ef的定态时,就产生辐射(或吸收),辐射频率 v与跃迁始末的两个定态能量之间的关系由下式决定
|Ei-Ef|=hv 。
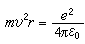
玻尔又假定电子与核之间的相互作用力主要是库仑力,万有引力相对很小,可忽略不计。玻尔认为,电子绕核作圆周运动,因此在定态时,电子绕氢原子核以速度v在半径为r的圆周上运动,向心力
就是库仑力
,其中m和e为电子的质量和电荷。因而有关系
, (1)
这就是电子绕核运动的轨道方程。
玻尔注意到普朗克的作用量子 h具有能量乘时间的量纲,而电子在圆轨道上运动时角动量的量纲也是能量乘时间。因此他设想角动量也应是量子化的。他于是假定轨道角动量满足关系
, (2)
此式称为玻尔角动量量子化条件,数值n称为量子数。结合以上两式,就可以从经典的同心圆系连续轨道中选出一系列分立无辐射的定态轨道。第 n个无辐射轨道的半径为
(3)
由当时实验测得的e、m及h的值,就得出玻尔电子轨道半径为rn=0.529×10-8n2cm。如果电子在第一轨道上运动,则氢原子的直径大约为1┱(0.1nm)。这个结果与气体分子运动论得到的结果完全符合。电子在第n个无辐射定态轨道上的总能量为
,(4)
根据玻尔第二基本假定,当电子由第ni个轨道跃迁到第ni个轨道时,将发出频率为
的辐射。若用波数
表征该辐射,则得下式
(5)
当ni =2, ni=n=3,4,5,…时则式(5)变为
。 (6)
这正是氢原子光谱的巴耳末公式(1885年J.J.巴耳末首先得出),令式(5)右方的常数因子
等于里德伯常数R,玻尔利用当时已知的m、e、h、с之值,求得R的值为1.09×105cm-1,这与由当时光谱测定之值109675cm-1比较,符合得很好。
如果令式(5)中的ni=3,ni=4,5,6…,就得到表示帕邢线系(1908年F.帕邢首先观察到)的公式。玻尔当时曾预言应该有nf=1,相应的ni=2,3,4,…;nf=4相应的ni=5,6,7…;及nf=5,相应的ni=6,7,8…等线系。果然,这些线系后来分别由T.赖曼(1916),F.S.布喇开(1922),A.H.芬德(1924)以及C.J.汉弗莱(1953)等人观察到。
玻尔理论的重大成就是把光谱观测的许多事实纳入了一个统一的理论体系;更重要的是这一理论明白地指出了经典物理学对于原子内部现象的不适用性,向反映微观客体的量子规律迈出了第一步。他的氢原子模型是一个概念上的突破,他的定态、能级等概念为后来建立波动力学奠定了基础,而且广泛应用于原子核物理学、分子物理学和固体物理学中。