紫外稳定剂

一类能将紫外辐射大部分吸收,并将所吸收的这一部分能量转化为无害的热能释放出来的有机化合物。紫外稳定剂是光稳定剂的一个主要类别,可用作塑料、合成纤维和橡胶等高分子(见高分子化合物)材料的加工助剂,也可用于护肤霜等化妆品中,防止皮肤受日晒后变黑。

紫外辐射对高分子材料有很大的破坏作用。它破坏高分子化合物中最薄弱的化学键(如三级碳原子与氢原子间的σ 键),生成活泼的自由基,进而可引发一系列的光氧化降解反应,使材料的性能劣化,直至完全丧失使用价值。加入少量的紫外稳定剂,可以抑制或延缓这种光氧化降解反应(见高分子光降解),保持材料的优良性能,延长使用寿命。

许多有机化合物都有吸收紫外辐射的能力。工业上常用的紫外稳定剂有二苯酮、苯并三唑和水杨酸酯等化合物的衍生物。

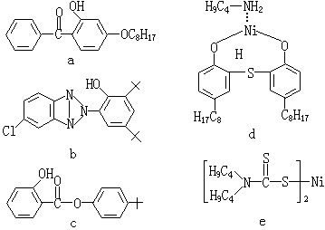
二苯酮的衍生物结构简单,容易制备,效果也较好,是一类广泛应用的紫外稳定剂。其中2-羟基二苯酮的衍生物吸收紫外辐射的效果最好,可以吸收90%~95%辐射能量,代表性产品为2-羟基-4-正辛氧基二苯酮(见结构式a)。产品为浅黄色结晶粉末,熔点为49°C,能吸收波长为300~375纳米的紫外辐射,并与各种高分子树脂有很好的相容性;可用于聚烯烃氯乙烯聚苯乙烯、聚碳酸酯、不饱和聚酯树脂和纤维素等高分子材料中。在这类化合物中常用的产品还有 2-羟基-4-甲氧基二苯酮、2-羟基-4-甲氧基-2′-羧基二苯酮、2,4-二羟基二苯酮和2,2′-二羟基-4-甲氧基二苯酮等。

苯并三唑衍生物的代表性产品有:2-(2′-羟基-3′-三级丁基-5′-甲基苯基)-5-氯代苯并三唑、2-(2′-羟基-3′,5′-三级丁基苯基)-5-氯代苯并三唑 (b)和2-(2′-羟基-5′-甲基苯基)苯并三唑等。产品b为浅黄色粉末,熔点在151°C以上,能吸收波长为300~400纳米的紫外辐射;可用于聚烯烃、聚甲醛、有机玻璃、聚氨酯和涂料中。

水杨酸酯衍生物有水杨酸苯酯、水杨酸 -4-三级丁基苯酯(c)和水杨酸-4-辛基苯酯等。c为白色粉末,熔点为62~64°C;可用于聚烯烃、聚氯乙烯、聚氨酯和纤维素等塑料中。这类产品有变黄倾向,大多用于深色制品中。常见的紫外稳定剂还有:双(3′,5′-三级丁基-4′-正丁氧基苯基)-1,3,5-三嗪、单苯甲酸间苯二酚酯、双(对-三级辛基苯酚)-2,2′-硫醚正丁胺镍盐(d)和N,N-二正丁基二硫代氨基甲酸镍盐(e)等。

公式 符号

此外,有一些无机颜料(如氧化锌)以及炭黑也有吸收紫外辐射的能力。

新发展起来的紫外稳定剂产品有受阻胺类、草酰苯胺的衍生物、二苯酮衍生物的聚合物和氨基膦的衍生物等。