¹âµ¯ÐÔ·¨

Ó¦ÓùâѧԭÀíÑо¿µ¯ÐÔÁ¦Ñ§ÎÊÌâµÄÒ»ÖÖʵÑéÓ¦Á¦·ÖÎö·½·¨¡£½«¾ßÓÐË«ÕÛÉäЧӦµÄ͸Ã÷ËÜÁÏÖÆ³ÉµÄ½á¹¹Ä£ÐÍÖÃÓÚÆ«Õñ¹â³¡ÖУ¬µ±¸øÄ£ÐͼÓÉÏÔØºÉʱ£¬¼´¿É¿´µ½Ä£ÐÍÉϲúÉúµÄ¸ÉÉæÌõÎÆÍ¼¡£²âÁ¿´Ë¸ÉÉæÌõÎÆ£¬Í¨¹ý¼ÆË㣬¾ÍÄÜÈ·¶¨½á¹¹Ä£ÐÍÔÚÊÜÔØÇé¿öϵÄÓ¦Á¦×´Ì¬¡£

20ÊÀ¼Í³õ£¬E.G.¿Æ¿Ë¶ûºÍL.N.G.·ÆÂ×ÓùⵯÐÔ·¨Ñо¿ÇÅÁº½á¹¹µÈµÄÓ¦Á¦·Ö²¼¡£ 40Äê´ú£¬M.M. ¸¥ÂÞºÕÌØ¶Ô¹âµ¯ÐԵĻù±¾Ô­Àí¡¢²âÁ¿·½·¨ºÍÄ£ÐÍÖÆÔìµÈ·½ÃæµÄÎÊÌ⣬×÷ÁËÈ«ÃæÏµÍ³µÄ×ܽᣬ´Ó¶øÊ¹¹âµ¯ÐÔ·¨ÔÚ¹¤³ÌÉÏ»ñµÃ¹ã·ºµÄÓ¦Óá£

ÀûÓùⵯÐÔ·¨£¬¿ÉÒÔÑо¿¼¸ºÎÐÎ×´ºÍÔØºÉÌõ¼þ¶¼±È½Ï¸´ÔӵŤ³Ì¹¹¼þµÄÓ¦Á¦·Ö²¼×´Ì¬£¬ÌرðÊÇÓ¦Á¦¼¯ÖеÄÇøÓòºÍÈýάÄÚ²¿Ó¦Á¦ÎÊÌâ¡£ ¶ÔÓÚ¶ÏÁÑÁ¦Ñ§¡¢ ÑÒʯÁ¦Ñ§¡¢ÉúÎïÁ¦Ñ§¡¢Õ³µ¯ÐÔÀíÂÛ¡¢¸´ºÏ²ÄÁÏÁ¦Ñ§µÈ£¬Ò²¿ÉÓùⵯÐÔ·¨ÑéÖ¤ÆäËùÌá³öµÄÐÂÀíÂÛ¡¢Ð¼ÙÉèµÄºÏÀíÐÔºÍÓÐЧÐÔ£¬Îª·¢Õ¹ÐÂÀíÂÛÌṩ¿ÆÑ§ÒÀ¾Ý¡£

¹âµ¯ÐÔÔ­Àí

ÔÚÆ«Õñ¹â³¡ÖУ¬¸÷ÏòͬÐԵĹⵯÐÔÄ£ÐÍÔÚÔØºÉ×÷ÓÃÏ»á²úÉúÔÝʱ˫ÕÛÉäЧӦ£¬ÆäÖ÷ÕÛÉäÂʺÍÖ÷Ó¦Á¦Óйأ¬Ö÷ÕÛÉäÂÊÓÖ¿ÉÓÉÏàÓ¦µÄ¹â³Ì²îÀ´È·¶¨£¬Òò´Ë¿ÉÓùâ³Ì²îÀ´È·¶¨Ö÷Ó¦Á¦¡£Ò»Êø×ÔÈ»¹âͨ¹ýÆðÆ«¾µºó£¬»á²úÉúÆ½ÃæÆ«Õñ¹â¡£Ëü´¹Ö±Í¸ÉäÒ»¸öÊÜÔØºÉµÄÆ½ÃæÄ£ÐÍʱ(ͼ1)£¬

ͼ

ÑØ×ÅÄ£Ð͵ÄÒ»µãµÄÁ½¸öÖ÷Ó¦Á¦¦Ò1ºÍ¦ÒµÄ·½Ïò·Ö½â³ÉÁ½ÊøËٶȲ»Í¬µÄÆ½ÃæÆ«Õñ¹â£¬ËüÃÇͨ¹ýÄ£Ðͺ󣬲úÉúÒ»¸öÏà¶Ô¹â³Ì²î¦¤¡£ÊµÑé±íÃ÷£¬Ä£Ð͵ÄÖ÷Ó¦Á¦¦Ò1ºÍ¦Ò2Óë¹â³Ì²î¦¤¼äµÄ¹ØÏµÈçÏ£º

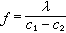
¹«Ê½ ·ûºÅ£¬

¼´

¹«Ê½ ·ûºÅ£¬

ʽÖй«Ê½ ·ûºÅΪµÈ²îÏß(ÓֳƵÈÉ«Ïß)ÌõÎÆ¼¶Êý£»¹«Ê½ ·ûºÅΪ¹âµ¯ÐÔ²ÄÁÏÌõÎÆÖµ£»¦ÄΪ¹âµ¯ÐÔÄ£Ð͵ĺñ¶È£»¦ËΪ¹âÔ´µÄ²¨³¤£»c1- c2ΪӦÁ¦¹âѧ³£Êý¡£ÉÏʽÊÇÖøÃûµÄÓ¦Á¦£­¹âѧ¶¨ÂÉ£¬ËüÊǹⵯÐÔ·¨µÄÀíÂÛ»ù´¡¡£

ÔڹⵯÐÔʵÑéÖУ¬Í¨³£³öÏÖÁ½×é¸ÉÉæÌõÎÆ£ºµÈ²îÏߺ͵ÈÇãÏß¡£

µÈ²îÏß

½«³ÐÊÜÔØºÉµÄ¹âµ¯ÐÔÄ£ÐÍÖÃÓÚ°×¹â¹âÔ´µÄÕý½»Ô²Æ«Õñ¹â³¡ÖУ¬¿ÉÒԹ۲쵽²ÊÉ«µÄ¸ÉÉæÌõÎÆ¡£µ±ÌõÎÆÉϸ÷µãµÄ¹â³Ì²îÏàµÈʱ£¬¾ÍÏÔʾ³öÏàͬµÄÑÕÉ«£¬¹Ê³ÆÎªµÈÉ«Ïß¡£´ÓÓ¦Á¦£­¹âѧ¶¨ÂɵÃÖª£¬µ±¹â³Ì²îÏàµÈʱ£¬ÆäÖ÷Ó¦Á¦²îÏàµÈ£¬¹ÊµÈÉ«ÏßÓֳƵȲîÏß¡£

ÔÚÕý½»Ô²Æ«Õñ¹â³¡ÖУ¬¹âÏßͨ¹ýÄ£Ðͺó£¬ÈôÆä¹â³Ì²îΪ²¨³¤µÄÕûÊý±¶Ê±£¬¹âÇ¿×îС£¬¼´ÎªÕûÊý¼¶µÈ²îÏß¡£Ëü¿ÉÓɹⵯÐÔʵÑéµÄÓ¦Á¦£­¹âͼֱ½ÓÊý³öÆäÌõÎÆ¼¶Êý¡£ÖÁÓÚ·ÇÕûÊý¼¶ÌõÎÆµÄÈ·¶¨£¬ÔòÐë²ÉÓø¨ÖúÊֶΣ¬ÈçÐýת¼ìÆ«¾µ£¬²ÉÓò¹³¥Æ÷ºÍÌõÎÆ±¶ÔöÆ÷µÈ¡£

µÈÇãÏß

ÔÚ°×¹â¹âÔ´µÄÕý½»Æ½ÃæÆ«Õñ¹â³¡ÖУ¬¹âµ¯ÐÔÄ£ÐͳÊÏÖµÄÓ¦Á¦£­¹âͼ£¬¼È°üº¬²ÊÉ«µÄµÈ²îÏßÌõÎÆ£¬ÓÖ°üº¬ºÚÉ«ÌõÎÆ¡£µ±Æ«Õñ¹âµÄ¹âÖá±£³ÖÕý½»¶øÓÖÏà¶ÔÓÚÄ£ÐÍÐýתʱ£¬ÄÇÐ©Ëæ×ª½Ç¶ø¸Ä±äλÖõĺÚÉ«ÌõÎÆ³ÆÎªµÈÇãÏߣ»²»Ëæ×ª½Ç¶ø¸Ä±äλÖõĺÚÉ«ÌõÎÆÎªÁã¼¶µÈ²îÏß¡£ÔÚµÈÇãÏßµÄÈÎÒâÒ»µãÉÏ£¬Ö÷Ó¦Á¦µÄ·½Ïò¶¼Ïàͬ¡£Õý½»Æ«Õñ¹âÖáÏà¶ÔÓÚÄ£ÐÍת¶¯µÄ½Ç¶È¼´´ú±íÖ÷Ó¦Á¦µÄ·½Ïò¡£µ±Õý½»Æ«Õñ¹âÖáÁ¬Ðø×ª¶¯Ê±£¬½«ÒÀ´Î³öÏÖ¶ÔÓ¦ÓÚ¸÷ÖÖ²»Í¬µÄ½Ç¶ÈµÄµÈÇãÏß¡£(¼û²Êͼ)

Ë®°Ó¹âµ¯ÐÔÄ£Ð͵ÈÇãÏßÎÆ0¶ÈÆ«Õñ½Ç Ë®°Ó¹âµ¯ÐÔÄ£Ð͵ÈÇãÏßÎÆ30¶ÈÆ«Õñ½Ç Ë®°Ó¹âµ¯ÐÔÄ£Ð͵ÈÇãÏßÎÆ60¶ÈÆ«Õñ½Ç

¹âµ¯ÐÔÓ¦Á¦·ÖÎö

´Ó¹âµ¯ÐÔʵÑé¿ÉÒÔÖ±½Ó»ñµÃÖ÷Ó¦Á¦²îºÍÖ÷Ó¦Á¦·½Ïò¡£ÎªÁËÈ·¶¨µ¥¶ÀµÄÓ¦Á¦·ÖÁ¿£¬»¹Ðë½èÖúÓÚÆäËûʵÑé·½·¨»ò¼ÆËã·½·¨¡£

¶ÔÓÚ¶þάӦÁ¦ÎÊÌ⣬ȷ¶¨Ö÷Ó¦Á¦»òÕýÓ¦Á¦·ÖÁ¿µÄʵÑé·½·¨£¬ÓвàÏò±äÐη¨¡¢µç±ÈÄâ·¨¡¢ÔÆÎÆ·¨¡¢¹âµ¯ÐÔбÉä·¨¡¢È«Ï¢¹âµ¯ÐÔ·¨ºÍȫϢ¸ÉÉæ·¨µÈ¡£²ÉÓüÆËã·½·¨·ÖÀëÖ÷Ó¦Á¦µÄ£¬ÓмôÓ¦Á¦²î·¨¡¢²î·Ö·¨ºÍµü´ú·¨µÈ¡£µ«ÔÚ¹¤³ÌÖг£ÓõÄÊǼôÓ¦Á¦²î·¨¡¢¹âµ¯ÐÔбÉä·¨ºÍȫϢ¹âµ¯ÐÔ·¨¡£

¼ôÓ¦Á¦²î·¨

Æ½ÃæÎÊÌâµÄ¼ôÓ¦Á¦²î·¨¿É¸ù¾Ýµ¯ÐÔÀíÂÛ¶þάӦÁ¦ÎÊÌâµÄƽºâ΢·Ö·½³Ì£¨ºöÂÔÌå»ýÁ¦£©µ¼³öÕýÓ¦Á¦¦ÒxiµÄ¼ÆËãʽ

¹«Ê½ ·ûºÅ

ʽÖЦÒxiΪ¼ÆËãµãiµÄ¦ÒxÖµ;¦Òx0ΪÆðʼµãµÄÕýÓ¦Á¦;¦¤¦ÓxyΪ¼ä¾à¦¤xÖеÄÉϸ¨Öú½ØÃæABºÍϸ¨Öú½ØÃæCDµÄ¼ôÓ¦Á¦²îÖµ£»¦¤x£¬¦¤yΪ²âµã¼ä¾à£¨Í¼2£©¡£

ͼ

ÕýÓ¦Á¦¦Òy°´ÏÂʽ¼ÆË㣺

¹«Ê½ ·ûºÅ£¬

ʽÖЦÈΪµÚÒ»Ö÷Ó¦Á¦¦Ò1ºÍxÖáµÄ¼Ð½Ç£¬²¢×ÔxÖáÄæÊ±Õë·½ÏòΪÕý¡£µ±¦È£¼¦Ð/4ʱ£¬¦Òx£¾¦Òy£¬ÉÏʽµÚ¶þÏîÈ¡¸ººÅ£»¶øµ±¦È£¾¦Ð/4ʱ£¬¦Òx£¼¦Òy£¬ÉÏʽµÚ¶þÏîÈ¡ÕýºÅ¡£

ÈôÌõÎÆ¼¶ÊýNºÍÖ÷Ó¦Á¦·½ÏòÒÑÖª£¬¼ôÓ¦Á¦¦Óxy¿É°´ÏÂʽ¼ÆË㣺

¹«Ê½ ·ûºÅ¡£

¹âµ¯ÐÔбÉä·¨

¶þάӦÁ¦·ÖÎöÖг£ÓõķÖÀëÓ¦Á¦µÄʵÑé·½·¨¡£µ±Ö÷Ó¦Á¦·½ÏòÒÑ֪ʱ£¬Ö»Òª¶ÔÄ£ÐͽøÐÐÒ»´ÎÕýÉ䣬ÔÙ½«Ä£ÐÍÈÆ¦Ò1·½Ïòת¶¯¦È½Ç½øÐÐÒ»´ÎбÉ䣬¼´¿É¸ù¾ÝÏÂʽµÃ³öÖ÷Ó¦Á¦£º

¹«Ê½ ·ûºÅ

Èôδ֪Ö÷Ó¦Á¦·½Ïò£¬»òÄÑÒÔÑØÖ÷Ó¦Á¦·½Ïò½øÐÐбÉ䣬Ðë²ÉÓÃÒ»´ÎÕýÉä¡¢Á½´ÎбÉ䣬²ÅÄܵóöÕýÓ¦Á¦¡£ÈçÄ£ÐÍ·Ö±ðÈÆxºÍyÖá¸÷ת¦È½Ç£¬ÕýÓ¦Á¦·ÖÁ¿¿ÉÓÉÏÂʽ¸ø³ö£º

¹«Ê½ ·ûºÅ

ʽÖÐN¦Èx¡¢N¦Èy·Ö±ðΪģÐÍÈÆx¡¢yÖáת¶¯¦È½Ç½øÐÐÕÕÉäʱµÄÌõÎÆÊý£»N0ΪÕýÉäµÄÌõÎÆÊý¡£

ÈýάӦÁ¦·ÖÎö

´ó¶àÊý¹¤³Ì½á¹¹ÔÚÔØºÉ×÷ÓÃϳ£´¦ÓÚÈýάӦÁ¦×´Ì¬¡£Ó¦ÓÃÈýά¹âµ¯ÐÔʵÑé·¨ÄÜÓÐЧµØÈ·¶¨¹¤³Ì½á¹¹ÄÚ²¿µÄÈýάӦÁ¦×´Ì¬¡£Èýά¹âµ¯ÐÔʵÑé·¨°üÀ¨¹âµ¯ÐÔÓ¦Á¦¶³½á·¨¡¢ ¹âµ¯ÐÔ¼ÐÆ¬·¨¡¢ ¹âµ¯ÐÔÉ¢¹â·¨µÈ£¬ÒԹⵯÐÔÓ¦Á¦¶³½á·¨Ó¦ÓýϹ㡣

½øÐйⵯÐÔÈýάӦÁ¦·ÖÎöʱ£¬Ä£ÐÍÖеÄÕýÓ¦Á¦²îºÍ¼ôÓ¦Á¦¶¼¿ÉÓÃÕýÉä»òбÉäµÄ·½·¨È·¶¨¡£ÕýÉä·¨½«Ä£ÐÍÑØx¡¢y¡¢zÈý·½ÏòÇгöÁ¢·½Ì壬ʹƫÕñ¹â·Ö±ðÑØÈý¸ö»¥ÏàÕý½»µÄ·½Ïò´¹Ö±ÕÕÉ䣬µÃ³öÈÎÒâµãµÄÕýÓ¦Á¦²îºÍ¼ôÓ¦Á¦(ͼ3)¡£Ð±É䷨ͨ³£²ÉÓÃÒ»´ÎÕýÉäºÍÁ½´ÎбÉäÒÔ»ñµÃÕýÓ¦Á¦²îºÍ¼ôÓ¦Á¦£¨Í¼4£©¡£Òª·ÖÀëÕýÓ¦Á¦£¬ÈÔÐë²ÉÓüôÓ¦Á¦²î·¨¡£

ͼ ͼ

¹âµ¯ÐÔ·¨ÊÇÒ»ÃųÉÊìµÄʵÑé¼¼Êõ£¬¹ã·ºÓÃÓÚ»úеÉè¼Æ¡¢Ë®Àû¹¤³Ì½¨Öþ¡¢ ÇÅÁº¹¤³Ì¡¢ ·¿Îݽ¨ÔìµÈÐí¶à²¿ÃÅ£¬ÔÚ½¨Á¢Éè¼Æ×¼Ôò¡¢Ìá¸ß¹¤³Ì¿É¿¿ÐÔ¡¢¼õÇáÖØÁ¿¡¢½µµÍ³É±¾µÈ·½Ã棬»ýÀÛÁËÐí¶à¾­Ñé¡£¹âµ¯ÐÔ¼¼ÊõÈÔÔÚ²»¶Ï·¢Õ¹£¬ÓÃËüÀ´Ñо¿¹¤³Ì½á¹¹µÄÈÈÓ¦Á¦£¨¼ûÈȹⵯÐÔ·¨£©¡¢¶¯Ì¬Ó¦Á¦£¨¼û¶¯Ì¬¹âµ¯ÐÔ·¨£©¡¢µ¯ËÜÐÔÓ¦Á¦£¨¼û¹âµ¯ÐÔÌùƬ·¨£©µÈÎÊÌ⣬¶¼ÒÑÈ¡µÃ³ÉЧ¡£

²Î¿¼ÊéÄ¿
  1. Ìì½ò´óѧ²ÄÁÏÁ¦Ñ§½ÌÑÐÊҹⵯ×é±àÖø£º¡¶¹âµ¯ÐÔÔ­Àí¼°²âÊÔ¼¼Êõ¡·£¬¿ÆÑ§³ö°æÉ磬±±¾©£¬1980¡£
  2. A.¿Â˹¿Ë¡¢G.ÂÞ²®Ñ·Öø£¬ÍõÛÆÉ½¡¢»Æ½Ü·ª¡¢½ðÑס¢»ÆÓÀȨÒ룺 ¡¶¹âµ¯ÐÔÓ¦Á¦·ÖÎö¡·£¬ ÉϺ£¿ÆÑ§¼¼Êõ³ö°æÉ磬1979¡£ (A. Kuske and¡¡G. Robertson£¬stic Stress Analysis£¬John Wiley &Sons£¬New York£¬1974.)