速度梯度

理性力学中一个有关变形的时间的量,它定义为:

公式 符号

式中速度梯度公式 符号是二阶张量;t(t)表示把相对变形梯度Ft(τ)对τ进行一次微分并令τ=t;墷是梯度算符;v是速度。把速度梯度进行加法分解(见张量),则

公式 符号

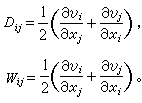
式中公式 符号公式 符号公式 符号的对称部分和反称部分,它们分别称为变形速率张量和转动速率张量。写成分量形式则为:

公式 符号

在理性力学中,研究n阶错综度里夫林-埃里克森流体(见里夫林-埃里克森张量)要用到n阶速度梯度的概念。把上面定义的速度梯度公式 符号看为一阶速度梯度,即公式 符号n阶速度梯度可以写成:

公式 符号

它表示把相对变形梯度公式 符号(τ)对τ进行n次微分并令τt的结果。