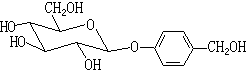
天麻素 [拼音]:tianmasu [外文]:gastrodine 一种葡萄糖苷(见苷),分子式C13H18O7。为中药天麻的一种有效成分。熔点96~98℃,比旋光度[α]屳-66.4°(水);溶于水、甲醇、丙酮和热乙酸乙酯,难溶于乙醚。天麻素用苦杏仁酶水解,可得对羟甲基苯醇苷元。天麻素具有较好的镇静和安眠作用,毒性小,对神经衰弱、失眠头痛有一定疗效。中药天麻是中医治疗头痛眩晕、肢体麻木、惊痛抽搐的主药。 阅读全文