动量

物体的质量和它的质心速度的乘积,又称线动量。对于质量为m的质点,若其速度为v,则其动量p=mv。质点的动量是矢量,其方向和速度矢量的方向相同。对于一个物体,其动量为各部分质量微元Δmi的动量viΔmi之总和,即

公式 符号

将质心C的位置矢公式 符号 (其中Μ是物体的质量)代入上式得:

公式 符号

即物体的动量等于物体的质量和它的质心速度的乘积,它的方向和质心速度矢量的方向相同。

动量的常用单位有克·厘米/秒、千克·米/秒等。

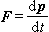
牛顿第二定律指出,物体动量的变化率等于作用在物体上所有外力的合力,即公式 符号。物体不受外力时,其动量保持不变(见动量守恒)。物体动量的改变在碰撞现象中特别明显。

参考文章