[拼音]:gaofenzi rongye de guang sanshe
[外文]:light scattering of polymer solution
光散射就是一束光通过介质时在入射光方向以外的各个方向也能观察到光强的现象。这是由于光波的电场振动,使介质中的分子产生了受迫振动的诱导偶极子,而成为二次波源,向各方向发射电磁波(即散射波)。
散射光波的强度、频率偏移、偏振度和光强的角分布等,均与分子在溶液中的大小、形状、移动速率和分子间的相互作用等性质有关,因此,利用高分子溶液的散射现象来研究高分子在溶液中的尺寸、形状,高分子之间的相互作用,高分子与溶剂分子之间的相互作用,分子量和分子量分布以及动态性质和扩散系数(包括转动扩散和平移扩散)等是很有成效的途径。20世纪70年代以来,由于激光技术的发展,多数散射光度计已采用激光光源,克服了经典光度计的许多困难,使光散射的工作得到迅速的发展。高分子溶液的光散射可分为弹性、准弹性、非弹性三类。
弹性散射常称瑞利散射。散射光的频率与入射光的频率相同,其散射光强可用一般散射光度计测量。当高分子的分子尺寸小于λ/20(λ为入射光在介质中的波长),且在溶液中浓度很稀,分子间距离较大,它们的相互作用可以忽略时,其散射光强是前后向对称的,与入射光方向成θ 角的散射光强为:
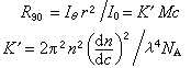
式中Iθ、I0为散射光和入射光强;c为溶液浓度(克/毫升);NA为阿佛伽德罗数;θ为散射角;λ为入射光在介质中的波长;r为散射中心至测量光强处的距离;Μ为分子量;n为溶剂的折射率;
为溶液折射率的浓度增量。单位散射体积的90°散射R90(光和入射光强之比)称瑞利因子:
从上式可以测定高分子的分子量。当高分子的分子尺寸大于 λ/20或达到300埃以上时,由于分子内各部分散射光波有相角差(称为内干涉),对θ=90°来说,其散射强度有前后向散射不对称性。在θ=0°时无内干涉,散射光强度随散射角增大而减弱,需要引入散射因子 P(θ)加以改正,P(θ)=Rθ/R0,式中Rθ和R0分别是散射角为θ°和0°处的瑞利因子,它正比于散射强度,θ=0°时P(θ)=1,P(θ) 与高分子在溶液中的分子形状(如棒状、球状、无规线团等)和高分子的多分散性有关,从P(θ)可以得到高分子在溶液中的均方半径。考虑到分子间和分子内的相互作用对散射强度的影响时可得:
用光散射法测定的高分子分子量为重均分子量嚔w,式中K=2K′,A2为高分子溶液的第二维利系数。
最常用的测定方法有两种:
(1)不对称系数法,测定与90°对称的两个散射角(如θ=45°和135°)的散射强度,由不对称系数[Z]和 P-1(90)可计算嚔w和均方半径:
(2)齐姆作图法,将在各个c和θ情况下测定的Kc/Rθ值对
作图,k是一个任取的数值,以便使实验点在图上有合适的分布(图1):
当c=0和θ=0时,外推线的截距为
,可从θ=0外推线的斜率计算A2,从c=0外推线的斜率计算均方半径。20世纪70年代中期发展了小角激光散射光度计,可以在θ=2°~4°范围内测定高分子溶液的散射强度,无需进行角度外推,使测定和计算嚔w值都较方便。
由于高分子在溶液中的热运动使散射光发生了多普勒频移,其频率不再是入射光的单一频率,而是以入射光频率为中心的,频率范围相差不大的一组频率(与中心频率的差值一般在 102~103赫兹左右)。测量这种微小频移的方法有两种:
(1)外差拍频法,将入射光分出一束与散射光相混合进入光电倍增管;
(2)自差拍频法,不加任何参比光束,由散射光子在光电倍增管表面自相混频。这两种方法产生的信息均可用频谱仪或实时相关器测定。在自差拍频方法中,用实时相关器测到的是光电倍增管输出电流的时间相关函数:
c(t)=〈i(t)i(0)〉
用频谱仪测定的则是此相关函数经傅里叶转换的频谱:
光电倍增管的电流i(t)正比于散射电场的平方,散射光频谱符合洛伦兹分布,其半峰高处的半宽度 Δω┩=Γ,Γ与扩散系数有关。外差拍频法 Γ=Dκ2,自差拍频法Γ=2κ2D,
,κ为准弹性散射过程中波矢量的改变。当κL(L为高分子在溶液中的分子长度)值大于3时,从散射频谱中可得出高分子转动扩散的信息。
非弹性散射的散射光频率与入射光不同,在中心瑞利散射线的两边产生的两条频谱,称为布里渊峰(图2)。
瑞利-布里渊谱中峰的相对强度取决于溶液中的分子结构和松弛过程,可用扫描式法布里-泊罗干涉仪测量。