[拼音]:dafenzi rongye lilun
[外文]:macromolecular solution theory
适应多种技术(如高聚物分子量的确定)和对相分离现象的解释等的需要而发展起来的一种溶液理论。目前流行的理论是P.J.弗洛里和M.L.哈金斯各自将似晶格理论推广而得的。1965年以来,还出现了弗洛里等以对应态原理为基础建立的状态方程理论,在非电解质溶液理论研究中得到较多的应用。
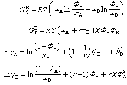
理论的大意为:把过量吉布斯函数GE近似剖析为位形和相互作用两个独立部分:GE=G
+G
G
与溶液中分子的排布有关;G
与溶液中分子的相互作用能有关。在理论处理时,把分子剖析为体积相近的几个或多个链节,把链节作为讨论排布与相互作用的统计单位,每一链节占据晶格的一个坐席,并认为混合物的位能为各对相邻链节的作用能之和。根据安置链节在晶格中不同的方法数可揭示出链节的柔性和两种分子节数的差异是造成溶液过量熵大于零的原因。根据理论处理,可得:
式中xA和xB为组分的摩尔分数;φA和φB为组分的体积分数;γA和γB为短链分子A和长链分子B的活度系数;R为气体常数;T 为热力学温度;r为长链分子B与短链分子A节数之比;χ称为相互作用参数。
如果溶剂代表单体;高聚物代表r聚体;χ表征该溶剂对该高聚物的溶解能力,当χ>0时,该溶剂称为不良溶剂;χ≤0时,该溶剂称为良溶剂。χ通常由依数性和光散射等实验测定。