[拼音]:tai’ergetefa
[外文]:Talcott method
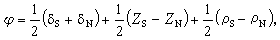
测定天文纬度的一种方法。十八世纪由丹麦的赫瑞鲍最先提出,1857年,美国的太尔各特加以改进并应用于实际工作,故又称赫瑞鲍-太尔各特法。它是迄今为止测定纬度最精确的方法之一,在各纬度观测站和野外天文测量中得到广泛应用。这种方法要求在中天时观测天顶南北两颗近乎等高的恒星的天顶距差(见天球坐标系)。南北恒星均为上中天时,太尔各特法测定纬度的基本公式为:
式中δS、δN,zS、zN以及ρS、ρN分别表示南、北两星的赤纬、天顶距和大气折射改正。由于太尔各特法不用垂直度盘来测定单颗恒星的天顶距,而用目镜测微器直接测出南北星对的天顶距差zS-zN,这就避免了垂直度盘的刻线误差,并大大减少了大气折射的误差,从而使测定纬度的精度大大提高。用太尔各特法测定纬度的仪器有天顶仪、中星仪以及高精度的全能经纬仪。这些仪器除附有目镜测微器外,还装有高灵敏度的太尔各特水准器。太尔各特水准器又称望远镜水准器,它的作用与一般用来置平仪器的水准器不同。它同望远镜紧固在一起时,可以在观测一对星的过程中,测出望远镜高度的微小变化,并由此改正纬度观测的结果。