[拼音]:qunbiaoshilun
[外文]:group representation theory
用具体的线性群(矩阵群)来描述群的理论,是研究群的最有力的工具之一。在19世纪末和20世纪初它由F.G.弗罗贝尼乌斯和W.伯恩赛德独立开创,而弗罗贝尼乌斯的工作则由I.舒尔所改善和简化。下面只论及有限群表示论。
设G是有限群,V是复数域 C上的有限维向量空间,GL(V)是V上全体可逆线性变换所组成的群。从G 映入GL(V)的一个同态
称为G的一个表示,而V称为ρ的表示空间。设U是V的一个子空间,若
,则称U是V(关于ρ)的一个不变子空间,这时ρ(g)在U上的限制就给出G的一个表示
如果没有非零真不变子空间,就说V是不可约表示空间,而ρ称为G的不可约表示;否则就说V和ρ是可约的。如果V有不可约不变子空间V1,V2,…,Vr使V是它们的直和即V=V1嘰…嘰Vr,就说ρ 是完全可约的。这时,若
,则记
,并说ρ分解成不可约表示ρ1,ρ2,…,ρr的和。有限群表示论的一个重要结果即马施克定理:有限群的任一表示都是完全可约的。因此,研究有限群的表示只要研究它的不可约表示就够了。
设ρ:G→GL(V)是有限群G的一个表示。如果选V的一个基υ1,υ2…,υn,并令
那么映射
,g∈G,就是从G映入GLn(C)的同态,称为与ρ相应的G的矩阵表示。设相应于V的两个基,ρ分别相应矩阵表示
则有可逆矩阵p使
。(p实际上是V的两个基的转换矩阵),这时就说这两个矩阵表示是等价的。
设ρ1和ρ2 是有限群 G的两个表示,表示空间分别是V1和 V2,如果有可逆线性映射 φ:V1→V2使 
,凬υ1∈V1,g∈G,就说ρ1和ρ2是等价的。显然,两个表示等价,当且仅当它们相应的矩阵表示是等价的。等价的表示并不视为有什么本质区别。
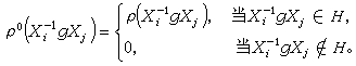
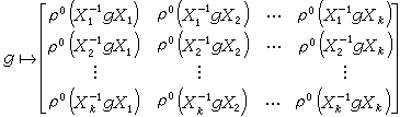
设H是有限群G的子群,x1,x2,…,xk是H在G中一左陪集代表系,ρ是H的一个表示。那么,对每个g∈G规定ρG:
,式中
ρG是G的一个表示,即所谓ρ的诱导表示。设ρ和ψ是G的两个表示,规定
,其中ρ(g)圱ψ(g)是矩阵ρ(g)和ψ(g)的克罗内克乘积,ρ圱ψ也是G的一个表示,即表示 ρ 与 ψ 的张量积。所谓 m×m 矩阵
和n×n矩阵
的克罗内克乘积(张量积),是指
。它是一个mn×mn矩阵。例如,当m=2,n=3时,
设ρ:G→GL(V)是有限群G的一个表示。令
,
,则ⅹρ是定义在G上的函数。显然它在G的共轭类上取相同的值,因此ⅹρ是G的类函数,ⅹρ称为表示ρ的特征标。当ρ不可约时,ⅹρ称为不可约特征标。特征标实际上确定了表示,可以证明,两个表示等价,当且仅当它们的特征标相等。利用特征标还可以证明,G只有有限个不同的不可约特征标,其个数恰好等于G的共轭类的个数。因此研究有限群的不可约特征标是有重要意义的。关于不可约特征标有所谓正交关系,即设ⅹ1,ⅹ2,…,ⅹc是G的不同的不可约特征标,g1,g2,…,gc是G的所有的不同的共轭类中的代表元,而h1,h2,…,hc是这些共轭类中元素个数,则有
,
,
式中δij为克罗内克符号。
诱导表示的特征标称为诱导特征标。表示的张量积的特征标是相应特征标的乘积。诱导特征标及与其有关的弗罗贝尼乌斯互反律和特征标乘积的分解,是表示论的主要工具。所谓弗罗贝尼乌斯互反律,即若ρ与ψ分别为G与H的不可约表示,则ψ在ρH(即ρ限制到H上)的完全分解中出现的重数等于ρ在诱导表示 ψG的完全分解中出现的重数。
对任意域F亦可象对复数域C那样定义表示空间、表示及特征标等。若F的特征不整除有限群G的阶,则仍然有表示的完全可约性,如果F 同时还是代数封闭的,那么用F代替C,以上的讨论成立。以n记有限群G的所有元素的阶的最小公倍数。H.马施克于1898年曾猜想G 的所有不可约表示皆可在n次分圆域Q(ξn)(ξn为n次本原单位根)中实现, 即如果ⅹ是G的一个(在复数域C上的)不可约特征标,那么存在一个矩阵表示
, 其特征标即ⅹ 。R.(D.)布饶尔在1945年证明了这个猜想。
将群表示论应用于有限群的研究,最早的最著名的结果是伯恩赛德定理:阶为pαqβ的群是可解群,这里p、q是相异素数,α、β是非负整数。近年来这个定理虽已有了抽象群论的证明,但不如用表示论的原证简捷。
20世纪20年代,E.诺特强调了“模”这一代数结构的重要性,她把有限群G的表示ρ:G→GL(V)的表示空间V看成一个双模,即除了域F的元素作为算子(即V到V的自同态)外,还容许群环F[G]的元素
g1,g2,…,gn是G的全部元素)作为算子:
,
并且适合条件
的模。反之,给定一个有限维F[G]的模V,显然每个g∈G在V上引起一个可逆线性变换,由此得到G的一个表示。对于F[G]的模,可以与上文完全平行地定义可约性、不可约性及完全可约性。一个F[G]的模是可约的或不可约的或完全可约的,当且仅当G的相应的表示是可约的或不可约的或完全可约的。所谓一个代数A是半单的,是指所有的A模都是完全可约的。因此群代数F[G]是半单的。这样,E.诺特就将代数结构论和群表示论融合为一,推进了这两个分支的发展。
近50年来,布饶尔将群表示论的研究大为深化,他引进了模表示论,研究了群阶除尽域的特征的域上的表示,以及模表示与常表示(即C上的表示)的关系,而群表示论在有限群结构理论中起着日益重要的作用。在这方面的第一个重要结果是费特-汤姆森证明了有长期历史的伯恩赛德猜想:奇数阶群都是可解群。近年来则导致了有限单群分类问题的解决。(见有限单群)
有限群的表示论已推广到无限群,特别是局部紧拓扑群,这成为近代分析的一个主要领域,推广了经典的傅里叶分析。群表示论在理论物理和量子力学中有重要的应用。
- 参考书目
- C.W.Curtis and I.Reiner,Representation Theory of Finite Groups and Associative Algebras,John Wiley and Sons, New York, 1962.
- I.M.Issacs,character Theory of Finite Groups,Academic Press, New York, 1976.
- W.Feit,Representation of Finite Groups,North-Holland, Amsterdam, 1982.