[拼音]:xianxing bianhuan
[外文]:linear transformation
同一域上两个向量空间之间的映射,是线性代数的一个主要研究对象。
设V和V┡是域 K上的向量空间,L是从V到V┡的映射,如果对于V中任意向量 u、v以及K中任意元素α、b,有L(αu+bv)=αL(u)+b)L(v),那么L 称为V到V┡的线性变换。例如,解析几何里的三维空间中任一向量(尣,y,z)在xy平面上的投影:L((尣,y,z))=(尣,y),就是实数域R上三维向量空间R3到二维向量空间R2的一个线性变换。设尣是n维向量,M是m×n实矩阵,令L(尣)=M·尣,则L就是Rn到Rm的一个线性变换。
设L 是V 到V┡的一个线性变换, B ={b)j|j=1,2,…,n}和 C ={сj|i=1,2,…,m}分别是 V 和V┡的基,于是,V 中任一元素尣可表为
,其中xj是域K的元素。由线性变换的定义可推得
。若
式中αij是域 K 的元素,令M(L)=(αij),尣写为列向量(x1,x2,…xn)T,则L(尣)=M(L)·尣。此时M(L)称为L对(B,C)基的矩阵。当基取定之后,就在L与M(L)之间建立了一一对应关系,即V到V的一切线性变换与K上一切n×m 矩阵之间是一一对应的。线性变换保持子空间及其包含关系,即若S1、S2都是V的子空间,且有
时,则L(S1)、L(S2)必是V┡的子空间,且有
。V┡的零向量在V中的原像组成的集合,称为L的核,记作KerL,L(V)表示V在L作用下的像,则KerL和L(V)分别为V和V┡的子空间,若以dim KerL 和dimL(V)分别表示子空间KerL 和L(V)的维数,则有dimKerL+dimL(V)=dimV。dim KerL称为L的亏,dimL(V)称为L的秩。
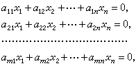
从线性变换和矩阵的对应关系可知这两者是同一的,但是线性变换的矩阵与基有关,而线性变换却不受基的限制,所以线性变换使用起来要方便一些。例如,解齐次线性方程组:
就可看作求KerL的问题,这里L是矩阵(αij)所代表的线性变换。因此,当L的亏为0时方程组只有零解。在m<n时,由亏和秩的关系可知dimL(V)
在V=V┡时,若V 到V┡的线性变换L是一个双射,则L 称为可逆变换或非奇异变换。从亏和秩的关系可知以下条件是等价的:
(1)L是正则的;
(2)M(L)是非奇异的;
(3)L(V)=V;
(4)KerV ={o}。V 的正则变换以映射的合成为运算构成一个群,称为V上的一般线性群,记作GL(V)。
在V和V┡都是赋范线性空间时,V到V┡的线性变换就称为线性算子。如果V┡是一维实空间,那么就把线性算子称为线性泛函。对于线性算子L若存在常数M,使得‖L(尣)‖≤M·‖尣‖,对于V的一切x都成立,那么L称为有界的。对于线性算子来说,有界和一致连续是等价的。