[拼音]:jiyin wenku
[外文]:gene library
用重组DNA技术将某种生物细胞的总 DNA 或染色体DNA的所有片断随机地连接到基因载体上,然后转移到适当的宿主细胞中,通过细胞增殖而构成各个片段的无性繁殖系(克隆),在制备的克隆数目多到可以把某种生物的全部基因都包含在内的情况下,这一组克隆的总体就被称为某种生物的基因文库。同一定义也适用于某种生物的线粒体DNA或叶绿体DNA的基因文库。由于制备DNA片段的切点是随机的,所以每一克隆内所含的 DNA片段既可能是一个或几个基因,也可能是一个基因的一部分或除完整基因外还包含着两侧的邻近DNA顺序。
基因文库与基因库的概念不同。基因库是指某一生物群体中的全部基因。基因文库与基因克隆的概念也有区别,基因克隆是只包含某些特定基因或 DNA片段的克隆。基因文库中包含着为数众多的克隆,建成后可供随时选取其中任何一个基因克隆之用。
基因文库的建立和使用是70年代早期重组DNA技术的一个发展。人们为了分离基因,特别是分离真核生物的基因,从1974年起相继建立了大肠杆菌、酵母菌、果蝇、鸡、兔、小鼠、人、大豆等生物以及一些生物的线粒体和叶绿体 DNA的基因文库。基因文库的建立使分子遗传学和遗传工程的研究进入了一个新时期。
基因文库的建立
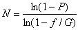
一个基因文库中应包含的克隆数目与该生物的基因组的大小和被克隆 DNA片段的长度有关。原核生物的基因组较小,需要的克隆数也较少;真核生物的基因组较大,克隆数需相应增加,才能包含所有的基因。此外,每一载体DNA中所允许插入的外源DNA片段的长度较大,则所需总克隆数越少;反之则所需数越多。如果一个基因文库的总克隆数较少,则从中筛选基因虽然比较容易,但给以后的分析造成困难,因为片段的长度增加了。如果要使每一克隆中的 DNA片段缩短,就须增加克隆数,所以在建立基因文库前应根据研究目的来确定 DNA片段的长度和克隆的数目。L.克拉克和J.卡邦在1975年提出一个统计学的公式来计算某一基因文库中所应包含的克隆数目。在建立基因文库时,任何一个DNA片段都是在随机的基础上被克隆的。在公式
中,P 是从建成的基因文库中可能选出某一基因的概率,这一数字由工作者根据需要选定。ƒ 是该基因文库中每一克隆所含外源 DNA片段的平均长度,可根据该生物基因组大小和所用载体可容纳的外源 DNA片段的长度决定。G是该生物基因组的大小,基因组大小和DNA片段长度的单位可用道尔顿或碱基对表示。N 是这一基因文库所应包含的克隆数目。在制备某一哺乳动物基因文库时,假若选出某一基因的概率定为99%,每一克隆内所含外源DNA片段的平均长度是2×104碱基对,基因组大小是3×109碱基对,则
下表中表示基因组大小(G)、片段大小(ƒ)、出选某基因的概率(p)与总克隆数(N)四者之间的关系。
产生 DNA片段的方法要求切点随机性高,使任一基因都可能被完整地克隆,并且最好在两侧都留有粘性末端以利于 DNA片段间的连接。机械剪切方法的优点是随机性高,可是所得片段两端没有粘性末端,有时较为不便与载体连接。用限制性核酸内切酶酶解的随机性较差,但是两端有粘性末端,便于和载体相连接(见重组DNA技术)。
基因载体通常根据待克隆的 DNA片段长度来选择。在制作原核生物基因文库时,因基因组较小,可把 DNA片段切得短些,可选用质粒如pBR322等作载体。真核生物的基因内部常有称为内含子的非编码区,使一个天然基因的长度比实际编码的部分要长得多,基因文库中待克隆的 DNA片段便应长些,以保证得到完整的基因。通常采用的载体有经过改建的噬菌体如λCharon4A(长度462kb,可克隆外源DNA长度 8.2~22.2kb)和粘性质粒(例如pHC79,长度6.4kb,可容纳外源DNA长度37~50kb)等。
经剪切得到的 DNA片段可通过噬菌体T4连接酶或大肠杆菌连接酶与载体DNA共价连接,使成为杂种DNA分子。
用质粒作为载体的重组 DNA分子可以通过转化引进细胞。用λ噬菌体的 DNA作载体的重组分子直接经转染引入细胞的效率较低;一般需先行离体包装,即把重组DNA分子包在噬菌体外壳中,再通过噬菌体感染而把重组DNA 分子引入敏感细菌细胞中。它的效率比转染高出几十到几百倍。
基因文库的保存和利用
为了有效地保存基因文库,可通过细菌的繁殖而使包含各个特定 DNA片段的细菌增多。液体培养不适用于这一目的,因为各个细菌的生存和繁殖能力不同,各个克隆被保存的机会也会因此而不相等。在固体培养基上每一个细菌单独形成一个菌落,各个细菌并不相互干扰和竞争,因而有利于全部克隆的保存。形成的每一个菌落中大约包含107个细菌,这样一个基因文库中的所有的克隆几乎都扩增了107倍。把培养皿上的细菌全部洗下加以保存,便可以在需要时从中取得任何一个克隆。
从基因文库中筛选某一克隆的常用办法是分子杂交。首先把属于一个文库的细菌或噬菌体以较低密度接种在培养皿上以取得相当分散的菌落或噬菌斑,然后用硝酸纤维滤膜吸印,使培养皿和滤膜的相对应的位置上具有相同的克隆。同时另行制备供分子杂交用的探针。为了筛选真核生物的某种基因,常从它的转录产物mRNA经反向转录(见中心法则)合成相应的互补 DNA(cDNA),再加入用32P标记的核苷三磷酸,用DNA多聚酶I切口移位方法制成有同位素标记的探针。把探针 DNA和硝酸纤维滤膜上的菌落或噬菌体分别进行变性处理,然后进行分子杂交。再将 X光底片覆盖在经过处理的滤膜上以进行放射自显影。在培养皿上找出和 X光底片上的黑点相对应的菌落或噬菌斑,这些菌落或噬菌体中便包含着所需要的基因。经过扩增便能得到大量的细菌或噬菌体,从中可以分离出所需基因的DNA片段。
应用与前景
建立和使用基因文库是分离基因,特别是分离高等真核生物基因的有效手段。如果一个哺乳动物的基因组是 3×109碱基对,直接从细胞中提取并分离出某一特定基因的 DNA片段在技术上是很困难的。但是在基因文库中,不同的 DNA片段都分别在不同的克隆中扩增了,只要有该基因的探针存在,则从许多克隆中筛选一个所需的克隆是一项比较简单的工作。此外基因文库中被克隆的 DNA都是基因组中各种随机的顺序片段,某些 DNA片段还包括基因外部的邻近的甚至互相跨叠的序列,所以基因文库特别有利于研究天然状态下基因的顺序组织。例如曾从人的基因文库中分离得到含有血红蛋白 β链基因的克隆,从中取得该基因的DNA并进行分析,发现人的δ和β链基因是连锁的,二者之间相隔几千个碱基对,而且在它们内部都有两个内含子。
基因文库还可以应用在个体发育的研究中。例如从芽孢杆菌的正在形成芽孢的菌体中分离mRNA,并用同位素标记做成探针,用这些探针可以从芽孢杆菌的基因文库中分离出只在芽孢形成过程中活动的基因,有助于对发育过程中基因调控进行研究。
基因文库也可以应用在高等生物,例如人的基因定位工作中。基因文库在生产实际中也是取得所需要的基因的一种重要方法。
基因文库有关技术的建立及应用虽然只有几年历史,但是它作为重组DNA技术应用的一个重要方面已经显示了它在解决分子遗传学中的理论问题和遗传工程中的实际问题上的巨大潜力。