超越数论

以超越数为研究对象的数论分支之一。全体复数可分为两大类:代数数和超越数。如一个复数是某个系数不全为零的整系数多项式的根,则称此复数为代数数。不是代数数的复数,叫做超越数。J.刘维尔开创了对超越数的研究,他发现无理代数数的有理数逼近的精密性有一个限度,借此他于1844年构造出历史上第一批超越数,例如g=2,3,…都是超越数。早在1844年以前的一个世纪里,对无理数的研究已成为一个注意焦点。1744年,L.欧拉证明了自然对数的底e是无理数。1761年,J.H.朗伯证明了圆周率π是无理数。

1873年,C.埃尔米特证明了e是超越数,从而使超越数论进入一个新阶段。1882年,F.von林德曼推广了埃尔米特的方法,证明了π 是超越数,从而解决了古希腊的“化圆为方”问题。

19世纪超越数论的最高成就,是林德曼-外尔施特拉斯定理:如果α1,α2,…,αn是两两不同的代数数,β1β2,…,βn是非零代数数,则

   (1)

由此可以导出,如果α1,α2,…,αn在无理数域Q上线性无关,则代数无关(即它们不适合任一其系数为有理数的多项式方程)。由(1)可知,如α是非零代数数,则sinα,cosα,tanα都是超越数;如α是不等于0和1的代数数,则自然对数lnα是超越数。

1900年,D.希尔伯特提出的23个问题中的第7问题是:如果α是不等于0和1的代数数,β是无理代数数,那么αβ是否超越数?D.希尔伯特曾预言,这个问题的解决将迟于黎曼猜想和费马大定理。A.O.盖尔丰德于1929年证明了:若α是不等于零和1的代数数,β是二次复代数数,则αβ是超越数,特别地,是超越数。P.O.库兹明于1930年把这个结果推广到β是二次实代数数的情形,特别地,是超越数。1934年,A.O.盖尔丰德和T.施奈德独立地对希尔伯特第7问题作出了肯定回答,此即所谓盖尔丰德-施奈德定理。由此可知,若α是正有理数,则常用对数lgα不是有理数,便是超越数;更一般地,对非零代数数α1,α2β1β2,若lnα1,lnα2Q上线性无关,则

1966年A.贝克把这个结果推广到任意多个对数的情形,证明了下述重要结果:若α1,α2,…,αn是非零代数数,且lnα1,…,lnαnQ上线性无关,则1,lnα1,…,lnαn在所有代数数所成的域坴上线性无关。其推论有:

(1)若代数数的对数线性组合(其系数为代数数)不等于零,则必为超越数。

(2)若α1,α2,…,αnβ0β1,…,βn是非零代数数,则是超越数。

(3)若 α1,α2,…,αn是不为0和1的代数数,β1β2,…,βn是代数数,且1,β1β2,…,βnQ上线性无关,则是超越数。A.贝克的理论还有定量形式,对数论许多分支有着重要应用。例如,第一次对几类很广的不定方程给出解的绝对值的有效上界,以及用以定出所有类数为 1和 2的虚二次域。前者是对于希尔伯特第10问题的肯定方面的实质性的贡献。1970年A.贝克获费尔兹奖

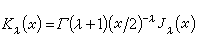
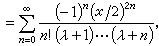
代数数的有理逼近是超越数论的重要课题(见丢番图逼近)。由林德曼-外尔施特拉斯定理发展而成的西格尔-希德洛夫斯基理论,对于证明一类适合线性微分方程组的幂级数的值的代数无关性,建立了一般的方法。例如,令

若λ是异于负整数和的有理数,则对于任何非零代数数α,Kλ(α)和K懁(α)代数无关。

超越数的测度理论是超越数论的又一个重要内容。1874年,G.康托尔引进了可数性的概念,而导致了“几乎所有”的实数(复数)都是超越数的结论。1965年,Β.Γ.普林茹克证明了K.马勒尔在1932年提出的猜想:对于几乎所有的实数θ、任意的正整数n 和正数ε,至多有有限多个n次整系数多项式p(x),使得其中hp(x)的诸系数的绝对值的最大值。

超越数论的最新发展使用着来自交换代数、代数几何、多复变函数论、甚至上同调理论的方法,正处于活跃之时。许多著名问题,例如,沙鲁尔猜测:若复数ζ1,…,ζnQ上线性无关,则由Q上生成的域的超越次数至少为n,及其特例关于e和π的代数无关性(甚或看来似乎容易得多的e+π的超越性),以及欧拉常数 的超越性的猜测,至今都未解决。

参考书目
  1. 华罗庚著:《数论导引》,科学出版社,北京,1957。
  2. A.Baker,Transcendental Number Theory, Cambridge Univ. Press, 1975.
  3. A.Baker and D.W.Masser, ed.,Transcendence Theory:Advances and Applications, Academic Press, New York,1977.