[拼音]:yejing lilun
[外文]:theory of liquid crystal
液晶分子较大,因此可以用经典力学和经典统计力学来描述它的性质。关于长形分子液晶的理论研究较为成熟,对盘形分子和溶致液晶的研究则刚开始。下面主要介绍长棒状分子的热致液晶理论。
液晶理论主要解决两大类问题。
(1)用连续体理论来描述流体动力学性质;
(2)相变理论。液晶分子有方向和平移互相耦合的两种自由度,因此,其流体力学方程就比简单液体的要复杂。液晶相变理论主要用朗道宏观理论和分子统计两种方法来处理。
连续体理论长棒状分子的运动,可以用质心速度v(r,t)和分子平均取向单位矢量(指向矢)r(r,t)来描述。系统有r和-r等价的对称性。描述向列相和胆甾相的流体动力学非线性方程已由 J.埃里克森 (1961)和F.M.莱斯利(1968)建立。在不可压缩条件下有
式中
,余类推,ρ为密度,ρ1为单位体积的分子转动惯量,
来自r·r=1的约束条件,σij、gi、πij为与自由能F 有关的各项相应可逆过程的物理量,σ拞和g媴是从耗散函数D导出的不可逆过程部分。向列相和胆甾相有五个独立的粘滞系数。质心运动与分子转动互有影响,胆甾相的运动还与温度有关。上述流体力学方程已被实验证实。
从守恒定律和对称性破缺考虑,可以导出包括近晶相在内的线性运动方程。用这个方法易于获得传播或扩散的流体动力学模式(即频率与波矢同时趋于零的模式)的数目和性质;结果与埃里克森-莱斯利方程线性化后的结果一致。
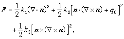
静态的分子排列由系统的自由能和边界条件决定。胆甾相的自由能密度表达式为
其中
为螺距。q0=0时成为向列相的表达式。上式称为奥钦(1933)-夫兰克(1958)自由能密度。k1、k2和k3分别为展曲、扭曲和弯曲曲率弹性常数。在外电场E(r)和外磁场H(r)作用下,还有附加自由能密度F
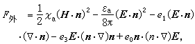
项
ⅹɑ为磁化率各向异性部分,εɑ为介电各向异性部分,e1、e3和e0为挠曲电系数。
液晶系统中不可避免地存在着杂质、离子与电荷,因此整个系统还要满足麦克斯韦方程组和电荷守恒方程,这样组成了一个电磁流体动力学体系。
从自由能表达式通过变分原理得到的方程的奇异解对应于液晶中的缺陷。液晶缺陷可通过拓扑学的同伦群加以分类。
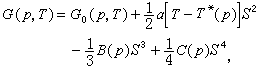
相变宏观理论描述液晶相变的最简单理论是朗道平均场理论。这里,描述向列相与各向同性液相之间的一级相变的吉布斯自由能(见吉布斯函数)为
式中p为压力, T为温度。序参量S厵0时是向列相。用这个理论可以解释一系列的压力实验。有趣的是,描述向列相与近晶 A相之间相变的自由能表示式与描述超导的具有相同的结构。
在许多情形还必须考虑涨落的影响。譬如向列相与近晶C相之间的相变是一级相变,但平均场近似却给出二级相变。在邻近近晶A要的向列相中,平行与垂直于r的两个相关长度的临界指数并不相同,也与一般理论假设有矛盾。
有一些相变(包括二维薄膜与胆甾相的蓝相)可以应用缺陷机理来解释,并牵涉到模耦合和重正化群的计算。
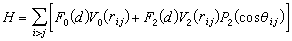
分子统计理论从哈密顿量
出发,用平均场近似可以计算出各向同性液相、向列相与近晶A相的各类相图。式中 F0(d)V0(rij)为分子质心的作用势能,F2(d)V2(rij)p2(cosθij)为伦敦色散力排列势能,rij和θij是i分子和j分子之间的距离和夹角。V0=0,F2V2=-J 的情形,称为迈尔-绍佩(Maier-Saupe)理论,J是与分子体积等有关的常数。 这时平均场的
式中
是向列相的序参量, 从这种分子统计理论可以计算曲率弹性常数等材料参量和胆甾相相变等,并获得一定的成功。然而,目前还未能从理论上预言哪种化合物会有液晶相。
利用分子统计理论也可对重入现象(见液晶)、盘形分子液晶相图以及(物理性质依分子尾链碳原子数而交替变化的)奇偶效应等部分实验结果作出解释。
- 参考书目
- L.Lam,Z. Physik,B.27,p.349,1977.
- Shu Changqing and Lin Lei, Mol. Cryst. & Liq. Cryst., Vol.112, p.213,p.233,1984.
- P. G.de Gennes, The Physics of Liquid Crystal,Clarendon Press, Oxford, 1974.