[拼音]:nianxing
[外文]:viscosity
从宏观的角度说,粘性是流体阻碍随时间较快地变形并引起动能转化成热能的一种性质,它的重要表现之一是出现切应力。另外一层意思是流体具有粘附于同它接触并有相对运动的固体的表面的性质。各种流体(如空气、水、油等)都有粘性,只不过数值大小不同。飞行器、车辆等在空气中运动;船、鱼类等在水中运动都会受到空气或水的阻力。而阻力同粘性密切相关(见边界层)。
研究流体粘性的重要性20世纪初飞机问世,科学家们为使飞机飞得快、节省燃料并增加飞行距离,开始努力研究阻力和粘性。1940年同20世纪初相比,同样航速和载重量的飞机在飞行时所受到的阻力,已下降到原来的1/8。这一成就在很大程度上是由于对粘性作用和阻力机理的定性和定量的认识。用风洞和其他实验设备(如运载工具、叶轮机械、水工设施等)做大量试验,其目的之一是定量地了解流体运动时粘性的作用,作为工程设计的依据。环绕地球运动的大气极大地影响地球各处的气候和农业生产;要弄清大气的运动,经常要考虑空气的粘性作用。总之,对粘性的研究是近代科学技术许多领域的重要课题。
流体的切应力研究力学问题时通常在流体或固体内分离出隔离体,隔离体表面切平面方向的力称为切应力。固体的切应力随应变而变;而水和空气等流体的切应力同变形只有间接的关系,它只同变形率(见流体力学)成比例,或者说是同变形的快慢成比例,这是流体同固体的显著差别。例如,一大块铁、石头、木头,把下层固定,如果不用很大的力推动它的上面一层,就不能和它的下层错移,因为固体的切应力很大,起了阻碍作用。流体则不然,使流体慢慢变形不费多大力。这种特性叫流体的易流动性。
附着是指紧贴着固体表面上的流体与固体表面速度相同的现象。当雷诺数超过 105时,流体在固体切线方向的分速度,在固体表面法线方向增长很快。飞机的外表面有了灰尘,尽管在飞行时空气流同飞机表面有很大的相对流速,但附着在飞机表面上的细灰尘仍不能全吹掉,必须用布才能擦净。这说明了紧贴飞机表面的流体相对于飞机表面并不流动,这是说明附着的很好的实例。在雷诺数较高的情况下,常常是粘性只在和流线型物体邻近的边界层中起作用,如果忽略了流体的粘性,实质就是不考虑很薄的边界层,而只考虑薄边界层以外的流动。
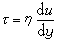
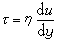
粘度又称粘性系数(或粘滞系数)。考虑图中所示的两块相距不远的平板,上面的板被拉向右运动时,下面的板固定不动。两板之间充满流体,同上下板表面接触的流体,因粘性作用附着在两板的内表面上。粘性使两板之间的流体也向右流动,它的流动速度从上而下地逐渐变小(见图),即u=u(y)。在这个典型特例中
定量地表示了流体的变形率。I.牛顿根据实验观察最先提出:在流体中取一小块矩形隔离体,它上面单位面积上的切应力τ 同
成正比
,
式中η为粘度。η是正数,随流体的种类、温度而变,也多少随压力而变。η的单位是牛·秒/米2或帕·秒,它的量纲是 L-1MT-1。将η除以流体的密度ρ,得v=η/ρ,这就是运动粘度,或称运动粘性系数。它的量纲只有运动学量,而无力的量纲。在常温下水和空气等气体的η相差百倍,而v只差十几倍(见表)。
从
中可见,如果流体没有变形率,η再大也不会出现切应力。这时,在流体内部隔离体表面上的相互作用就只有压力,而没有粘性所引起的应力。变形率和η 都小,则切应力也小。无粘流体理论正是反映这种情形下的流体运动规律。当流体密度随时间的变化剧烈时,还会出现另一个与η 不同的第二粘度,它使动能转化为热能,例如可使声波衰减消失。这一现象还待进一步定量地进行研究。近年来的研究表明,某些高分子的粘性有不同于水或空气粘性的特点,就是说粘性应力不和变形率成正比。
从微观上看,气体的粘性是分子动量的输运理象,可以用分子运动论对由简单分子构成的气体的粘性作出统计解释(见气体的输运现象)。