建筑声学

建筑声学是研究建筑中声学环境问题的科学。研究内容分两大部分:

(1)室内音质,其目的是保证语言用房和音乐用房的声学质量,以满足人们听觉上的要求;

(2)建筑环境的噪声控制,以求降低城市环境和建筑中所产生的各种扰人的噪声。

建筑声学涉及声波在封闭空间(如剧院、大型厅堂及其他房间)内的传播问题。这个问题与自由空间(周围没有任何反射体或其他障碍物)中的传播问题不同,对此人们早就有所认识,例如,中国古代的《千字文》中就有“空谷传声,虚堂习听”的提法。但是直到19世纪末,科学家对这一问题还不能理解,设计的礼堂、讲演厅多数存在问题。声波在室内传播情况与光波完全不同。一般的建筑材料对声波是良好反射体,反射系数常达97%~99%,声波在室内就像光在各面都是镜子的空间内传播一样,要来回反射很多次;而且声波速度要比光速低很多,约340m/s,反射多次就要几秒甚至几十秒。因此在讲话时语声将互相干扰。W.C.赛宾经过五年艰苦努力,于1900年求得了以他的姓氏命名的混响公式,才使人们认识了混响规律,建立了建筑声学的基础,这也标志了现代声学的开始。这以后,不少人研制了吸声材料,建立了吸声材料的理论、音质理论和音质设计理论。由于电子学技术的发展,科学家还研制了扩声系统和受援共振系统,用以改变大型厅堂的混响特性。

室内声学原理

自由声场中的声源

一个无指向(在各方向的性质相同)声源(见声辐射)在自由空间距离r 处产生的声压pd

(1)

其中W为声源功率,ρc为媒质的特性阻抗。对指向声源,如在测量方向的声强为平均声强的Q倍,Q称为声源的指向性因数,指向声源产生的声压就是

(2)

声压级Lp(0dB20μPa)为

    (3)

式中LW为声源的声功率级,0dB10-12W。

房间中的声波传播

声源在室内时,在距离r处仍产生如式(2)的声压,为区别起见这部分称作直达声。此外,当直达声传到墙面时要反射,多次反射声将再产生混响。如声源功率为W,在墙面反射时,一部分功率要被吸收,当墙面的平均吸声系数为╣时,混响声的功率为W(1-╣)。这时反射声压pR要满足下式

  (4)

    (5)

式中

   (6)

S为房间的表面积(m2)。离声源r(m)处的总声压为p

   (7)

r处的声压级为

     (8)

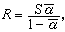
图1 混响时间

室内声源停止发声后,声能继续在各个界面之间反射,每反射一次,能量被界面吸收一次,声能逐渐减弱,这个现象称为混响,声级衰变60dB(声强降低到百万分之一)所需的时间称为房间的混响时间。可证明,房间的混响时间与吸声量的关系如下式

   (9)

式中V为房间体积(m3);╣为房间表面的平均吸声系数,S为房间表面积(m2)。

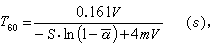
当房间体积较大时或是频率较高时,空气吸收将影响混响时间。此外,当房间平均吸声系数较大时,上式误差也较大,计入空气吸收的混响时间计算可用艾润公式

(10)

式中4mV为考虑空气吸收时的附加项。

统计声学

上面关于房间中声压级和混响时间的讨论,所用的是统计声学的方法。只从声能考虑,忽略了声的波动性质,所以得到的是平均的情况。在上面的讨论中曾假设:

(1)声能的密度是均匀地分布在房间内;

(2)能量在所有的传播方向上是相同的;

(3)声能的不同频率分量变化相同。如果按倍频带或 1/3倍频带考虑声能变化,上述第三个假设就不必要了。

几何声学

用几何光学中光线的概念把声的传播看作声能沿声线的传播,也忽略声的波动性质,这是几何声学的方法。几何声学在研究大型厅堂中各个反射面的作用时是非常有效的。用几何声学的方法还可以检查厅堂中有无回声和有无声聚焦现象。这种几何声学方法只是在反射面尺寸远大于声波波长,而反射面上的粗糙度远小于波长时才有效。这一点也可以供利用反射面增加早期反射声(见下文)的设计作为参考。

波动声学

在几何声学和统计声学中都要假设频率很高,声波波长比房间尺度或所遇物体的大小都小得多。在一般情况下,则应求解波动方程并使其满足厅堂内的边界条件,这称为波动声学或物理声学(同物理光学相应)方法。波动声学是严格的,但只有在房间形状简单(如矩形、圆柱形、球形等)才有解。在房间形状复杂时,则只能利用波动声学在简单形状求得的一般性结论加以推广。

以矩形厅堂为例。若厅堂的尺寸是lx×ly×lz,若六个表面都是反射面(这是简化,只要壁面均匀就可以得严格解),在壁面上声波的质点速度在法线方向的分量为零,可以求出满足这些边界条件的波动方程解为

,   (11)

式中 ,    (12)═n称为简正振动函数(简称简正函数),с是声速。室内任何声场都可以分解为若干简正振动方式(简正振动或简正波)的和,如时间函数的傅里叶分析,ωn称为简正角频率,fnωn/2π为简正频率。由式(11)可以看出,简振波是八个平面波形成的驻波,fn 是它的共振频率。各简正波相互都是正交的(两个不同的简正函数相乘后在室内体积中的积分等于零)。简正波在频率空间(以为坐标的坐标系统)中组成矩形网格(图2),频率小于f 的简正波共有

   (13)

式中V =lx·ly·lz 为室内容积,S=2(lx·lyly·lzlz·lx)为室内总面积,L=4(lxlylz)为总边长。

图2 图3

室内混响是各个简正波衰变的和,而各类简正波的衰变不同,总声强的衰变就不是对数的了。图3是混响室中测得的声场衰变曲线,在实际房间内弯曲将要更多些。

以上讨论都只限于矩形室内,但许多结论(例如简正振动的概念、频率空间的概念、简正频率数、室内声场分布、非线性衰变、稳态和动态的声场起伏等等)都可以推广到一般情况,使人们对室内声场的细节深入了解。

吸声材料和吸声结构

使用吸声材料和吸声结构是解决厅堂音质和噪声控制的重要措施之一。在音质设计中主要用于控制厅堂的混响时间和消除回声或声聚焦。在噪声控制中它可以降低室内混响声,削弱噪声的干扰。此外,在消声器和消声管道中利用吸声材料降低气流噪声。

常用的吸声材料和结构主要是多孔吸声材料,如玻璃棉、矿棉等。声波进入多孔材料后,微孔内的空气的粘滞性和热传导使其能量逐渐消耗,形成有效的吸收作用。多孔性吸声材料的吸声特性同它的孔隙率(材料内空气体积占总体积的百分数)和流阻(每单位厚度的压差和流速的比)有关,可以用解波动方程的方法求得。此外,多孔性吸声材料的吸声性质同它的厚度有关,如要提高低频的吸声系数,厚度就要求大,此外还可用共振腔吸声结构和薄板吸声结构。以上三类的吸声材料和结构其吸声特性见图4。共振腔常用亥姆霍兹共鸣器原理,一般吸收频率范围很窄,用微穿孔板(孔径小于1mm)或用混凝土块作成共振腔并填以多孔材料可加大其声阻,降低声抗,使吸收频率范围达到几个倍频程。

图4

目前工厂、体育馆等使用较多的一种吸声结构是空间吸声体,它可以悬挂在天花板上或屋顶下面,是对已建成的建筑物需要做吸声处理时最方便的办法。空间吸声体具有较大的吸声系数,使用时应尽量靠近声源。(见彩图)

哈尔滨北方剧场侧墙上设置的多层包厢 郑州少年宫影剧院侧墙上的棱锥形声扩散体 杭州剧场顶部锥形声扩散‘船体’ 上海电影技术厂强吸声录音棚 上海电影技术厂独奏(唱)录音室顶部扩散吸声体

室内音质设计

为了使室内有良好的听音条件,必须做好室内音质设计,它最终体现在房间的体型、尺寸、构造和材料的选择与布置等方面,它与建筑功能和建筑艺术处理有密切的关系。

音质评价标准

主观评价要求

房间的音质是否良好,主要决定于是否满足使用者的听觉要求。它可归纳为四个方面:

(1)合适的响度,语言和音乐的声级均应高于环境噪声,合适的A声级为70~80dB,对于音乐则要求更高些;

(2)高的清晰度,语言和音乐均要求声音清晰,而语言则要求更高;

(3)足够的丰满度,它的含义是余音悠扬(或称活跃),坚实饱满(或称亲切),音色浑厚(或称温暖);

(4)声音不失真、无回声和噪声的干扰。

声学技术指标

为了达到上述主观要求,首先要有合适的混响时间,这是主要的指标,但不是唯一的。室内脉冲响应亦为重要,当室内声源发声时大多为一个个的脉冲声,听众所听到的声音也是由直达的脉冲声和一系列的反射脉冲声组成的。直达声与反射声到达人耳的时间不同,它们在时间轴上的排列,大致是先稀疏后密集,其排列图谱如图5所示。50ms或100ms以内到达人耳(不同作者有不同建议)的反射声称为近次反射声,以后的称为混响声。近次反射声对音质起着有益的作用,混响声对响度、丰满度有益,但对清晰度将起着不良的影响。

图5 图6 哈斯效应

当延时较长的反射声的强度比较突出,将会形成回声。回声的出现不仅与时差有关,还与声音的相对强度有关,图6为哈斯效应图。图中横坐标为两个声音的时差,纵坐标为干扰度,曲线代表不同强度差(数字为其分贝数)的干扰情况,从图中看出,时差越小,强度差越大则干扰越小,反之,则干扰越大。

房间容积

它主要是为了保证厅堂有足够的混响时间和合适的响度,人的自然声声功率是十分弱的,房间过大时,将不能保证足够的响度,当不用扩声系统时,报告厅容积不应大于3000m3(约容700人)。

对于音乐厅,由于演唱与乐器的声功率较大,当音质设计最佳时,特别是用于大型交响乐队时,其容积可达 20000m3。表中指出不同用途的房间每人所需的容积,如每座容积过小也是不利的。

图

房间的体型设计

它直接涉及到直达声、前次反射声的控制和利用。在体型设计中应注意:充分利用直达声,尽量争取和控制前次反射声,避免回声和声聚焦的产生。

房间的混响时间设计

选择最佳的混响时间,是保证良好音质的重要措施。不同用途的房间要求有不同的混响时间,通常以500Hz的混响时间为准来规定最佳混响时间,低频可稍长,高频最好保持不变。图7是最佳混响时间建议值。

图7

建筑隔声

声波在围护结构中的传递基本上可分为两种途径:

(1)经由空气直接传播,或是声波使构件产生振动,使声音传至另一空间中去;

(2)由于机械振动或撞击使构件振动发声。前者称为空气声,后者称为结构声。

空气声的隔绝

构件的透射系数τEτ/Ei,构件隔声量Rg=-10lgτ,式中EiEτ为入射声能和透射声能。

质量定律

单层匀质密实墙的隔声量同墙的质量有关。当声波为无规入射时,其隔声量为

Rg=20lg(f·M)-47.2 (f<fc),

式中M为构件单位面积质量,f为声波频率。

吻合频率和吻合效应

吻合频率f0是指声波掠入射于墙面,其波长恰等于墙壁产生的弯曲波波长时的频率,这种现象称为吻合效应。在产生吻合时,由于墙的振动不断被加强,使隔声量极小。

双层墙的空气声隔绝

按质量定律,质量每增加一倍,其隔声量约增加6dB。而当采用双层分离式隔墙时,由于空气层的弹性作用,其隔声量将大于双层墙按质量定律应有的隔声量。

轻型墙的隔声

由于大量的建设和工业化的要求以及减轻建筑单位面积的重量,需要采用轻型墙。提高轻型墙的隔声量,主要采取下列措施:

(1)将多层密实材料用多孔材料分隔,做成夹层结构,其隔声量可比单层墙高10~20dB;

(2)为了避免吻合效应引起结构的谐振,最好使各层材料的质量不等;

(3)当双层墙间的空气层厚度大于7.5cm时,在大多数的频带内将增加隔声量8~10dB;

(4)用松软的吸声材料填充空气间层,可以提高轻墙隔声量2~8dB。

撞击声的隔绝

要降低撞击声(结构声)的声级,首先要对振源进行控制,然后是改善楼板的撞击声性能。主要措施有:

(1)处理面层,即增加面层的弹性,以减弱撞击声能;

(2)当面层受撞击后,使面层和结构层之间减振(浮筑地板),并使其振动不传给其他刚性结构;

(3)当结构整体受振后,则可用隔空气声的办法来减低其撞击声形成的声能。

参考书目
  1. 库特鲁夫著,沈译:《室内声学》,中国建筑工业出版社,北京,1982。(H. Kuttruff, Room Acoustics,2nd ed., AppliedScience Pub1., London,1979.)
  2. 车世光、项端祈主编:《噪声控制与室内声学》,工人出版社,北京,1981。
  3. 努特生、哈里斯同著,王季卿、郑长聚同译:《建筑中的声学设计》,上海科学技术出版社,上海,1957。(V. O.Knudsen and C. M.Harris,Acoustical Designing in Architecture,John Wiley & Sons,New York,1950.)
  4. L.Cremer and H.A.Müller, Principles and Applications of Room Acoustics,Vol. 1,2,Applied Science, London and New York, 1982.