指示电极

电化学分析法中所用的工作电极。其金属部分是惰性的,它和另一对应电极或参比电极组合成电解池。它在施加一定的电压后,在电化学反应过程中,能反映出流过的电流;或能在不加外电压的情况下反映出溶液中某一氧化还原对的电势。由于上述功能的不同,指示电极可分为两大类:一类是电流型,另一类是电势型。

属于电流型的有极谱法和伏安法或安培滴定法中所用的滴汞电极、悬汞电极和各种铂、金、石墨电极等以及库仑滴定法中死停法指示终点的铂电极。极谱法和伏安法是将上述微电极和另一对应电极或参比电极组合成二电极或三电极的电解池体系。当外加电压达到溶液中某一离子的还原电势后,电极反应就迅速进行。由于电极面积极小,电流密度很大,就发生浓差极化,于是电流完全受离子在溶液中的扩散作用所控制,微电极指示出反应过程中的扩散电流,这一电流与离子浓度呈线性关系,是定量分析的基础。极谱法中滴汞电极上的扩散电流id可用伊尔科维奇公式表示:

公式 符号

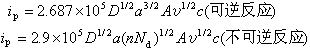
单扫描伏安法中微电极上的扩散电流ip有一峰值,可用兰德尔斯-塞弗西克方程式表示:

公式 符号

式中D为扩散系数;m为汞的流速;t为滴下时间;a为离子价数;n为电子转移数;Nd为控制反应的电子数;A为电极面积;v为电压扫描速度;c为离子浓度。

库仑滴定法指示终点的原理是:库仑滴定电解池中有两对电极,一对是用于产生滴定剂的,另一对即指示电极。以碘滴定亚砷酸为例,溶液中存在着过量的碘化钾,还有待滴定的亚砷酸,电极上碘离子氧化产生碘,立即与溶液中的亚砷酸作用,当到达终点时,稍过量的碘就可借指示电极指示出终点来。指示电极是由一对微铂电极组成,在这对电极间加上几十毫伏电压并串联一个电流计。当溶液中只有碘离子而无碘时,电极处于电化学极化状态,回路中无电流流过。但当到达滴定终点后,溶液中出现稍过量的碘,由于碘和碘离子是一对完全可逆的电极反应物质,在几十毫伏的外加电压下电极反应立即产生,有电流流过,电流计偏向一方,指示出滴定终点。

属于电势型的有电位滴定法中的指示电极。将一铂指示电极与另一参比电极组成一对电极,插入含有可逆氧化还原离子对的溶液中,就能反映出该离子对的电势。电势E可用能斯脱公式表示:

公式 符号

式中П为连乘符号公式 符号为反应物和生成物的活度。例如在以Fe2+滴定Ce4+的电势滴定中,在终点之前, 溶液中存在着Ce4+和Ce3+离子对,因此电极电势为:

公式 符号

当到达终点后,Ce4+完全消失,而Fe2+稍稍过剩,此时指示电极立即发生突变,指示出Fe3+/Fe2+离子对的电势:

公式 符号

由电势的突跃指示出滴定终点。式中E°为标准电极电势;R 为气体常数;T为热力学温度;n为反应中电子转移数;F法拉第常数。