电位滴定法

利用指示电极电位的突跃来指示滴定终点的容量分析方法。

原理

此法的装置见图1,

图

在被测溶液中插入一个指示电极和一个参比电极,两个电极都与电位计相连,参比电极的电位(势)保持不变,指示电极的电位随着被测离子浓度的变化而改变,在滴定终点附近发生突跃,指示已经到达终点。

例如以硝酸银标准溶液滴定氯化钠溶液,用银电极为指示电极,它的电位决定于溶液中 Ag+的活度(浓度):

公式 符号

式中 公式 符号氯化银的溶度积。滴定过程中银电极的电位变化见表。

图

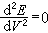
图2的a和b是电位曲线(E为电位;V为滴定剂的体积)的两种形式。不论是那种形式,其一次微分曲线公式 符号和二次微分曲线公式 符号都是一样的(图3)。在二次微分曲线中,公式 符号时为滴定终点,利用这个原理可从滴定终点附近的数据求出滴定终点。

图 图 应用

电位滴定法是利用指示剂进行容量分析的补充,用于指示剂法不能应用的地方,它要用作图法或计算法求滴定终点,不如用指示剂法那样直观、简单。

在酸碱滴定法中,电位滴定法能滴定不适于用指示剂的弱酸。利用指示剂进行酸碱滴定,要求在滴定终点时,pH突跃范围大到2个pH单位,否则就看不出指示剂的颜色变化,所以只能滴定Ka(离解常数)大于10-7的弱酸,电位滴定法则能滴定Ka小于5×10-9的弱酸。它还能在同一样品中连续滴定两种以上的酸,例如在非水滴定中,用溶于异丙醇的0.2Μ(C4H9)4NOH一次连续滴定溶于甲基异丁基甲酮中的高氯酸、盐酸、水杨酸、乙酸和苯酚(图4)。

图

沉淀滴定法中,因为缺少沉淀反应的指示剂,所以电位滴定比指示剂法更为有用。在氧化还原滴定法中,也因缺少指示剂,而使电位滴定法比指示剂法用得更广泛。电位滴定法还可进行连续滴定,例如,用高锰酸钾连续滴定溶液中不同价态的钒。

参考文章