[拼音]:yiwu’erxi
[外文]:isoprene
又称2-甲基-1,3-丁二烯。为一种共轭二烯(见烯烃)。异戊二烯为无色液体;熔点-146°C,沸点34°C,相对密度0.6810(20/4°C);不溶于水,能与乙醇、乙醚、丙酮和苯等溶剂混溶。
异戊二烯容易自身聚合(见聚合反应)或与别的不饱和化合物共聚合。它在齐格勒催化剂(见齐格勒-纳塔催化剂)存在下聚合,生成顺-1,4-聚异戊二烯,其结构和性能相当于天然橡胶;少量异戊二烯与异丁烯共聚,生成丁基橡胶。
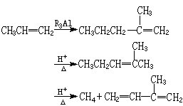
从植物中得到的一些化合物的分子式为C5H8的倍数,有的化合物热解时生成异戊二烯。工业上由异戊烷或甲基丁烯的催化去氢生产;或从轻油裂化生产乙烯所得的副产物中提取;或用丙烯合成。丙烯在三烷基铝存在下二聚,生成的2-甲基-1-戊烯在酸性催化剂存在下异构化为2-甲基-2-戊烯,后者热解生成异戊二烯和甲烷: