[拼音]:zhengze bianhuan
[外文]:canonical transformation
描述经典动力学系统的状态的坐标和动量之间的一种变换,这种变换保持了哈密顿运动方程的形式不变。
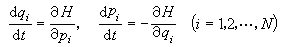
把广义坐标(q1,q2,…,qN)和广义动量(p1,p2,…,p N)联合表示的正则方程组
。 (1)
施行广义动量和广义坐标的共同变换:
。 (2)
使正则方程组式(1)变换成以(Q1,Q2,…,Q N;P1,P2,…,P N;t)表示的动力学方程组,若这方程组能依旧保持正则方程组的形式,即有
, (3)
那么变换式(2)称为正则变换,式中K为这体系用新变量(Q1,Q2,…,Q N;P1,P2,…,P N;t)所表示的新哈密顿函数。
为了保证变换式(2)的逆变换存在,必须满足
。
施行正则变换的目的是要把原正则方程组式 (1)变换成较易求解的正则方程组式(3)。
接连二次正则变换的合成变换,显然也是一种正则变换。正则变换的逆变换显然也是正则变换。广义坐标和广义动量原封不动的情况也可看作全同变换。这样,正则变换能适合这三种特性,称为它具有群的性质。正则变换在理论物理中有广泛的应用。